Figure 6
From: Polarization-selective four-wave mixing in a degenerate multi-level system

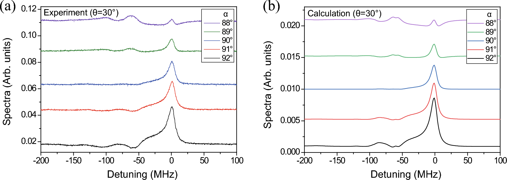
(a) Experimental and (b) calculated results of the dependence of the transmission signals on the angle \(\alpha \).
From: Polarization-selective four-wave mixing in a degenerate multi-level system

(a) Experimental and (b) calculated results of the dependence of the transmission signals on the angle \(\alpha \).