Figure 5

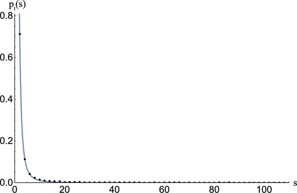
Plot in linear scale of the simulated cluster-size probability data points \(\{s_i,q_i=p(s_i)\}\) and the inferred power law \(p_t(s) \sim s^{-2.6 }\) (see “Methods” for details).

Plot in linear scale of the simulated cluster-size probability data points \(\{s_i,q_i=p(s_i)\}\) and the inferred power law \(p_t(s) \sim s^{-2.6 }\) (see “Methods” for details).