Figure 7

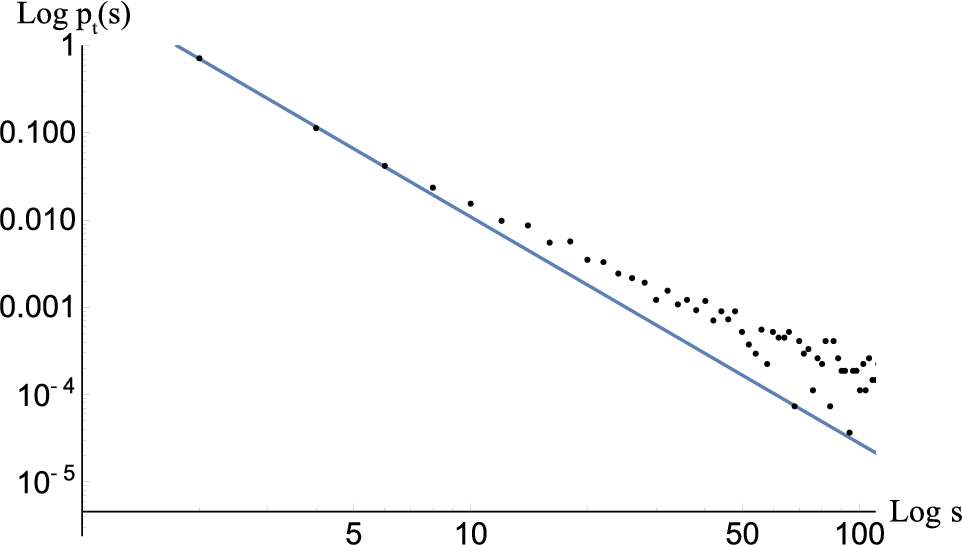
Plot in logarithmic scale of the simulated cluster-size probability data points \(\{s_i,q_i=p(s_i)\}\) and the inferred power law \(p_t(s) \sim s^{-2.6 }\).

Plot in logarithmic scale of the simulated cluster-size probability data points \(\{s_i,q_i=p(s_i)\}\) and the inferred power law \(p_t(s) \sim s^{-2.6 }\).