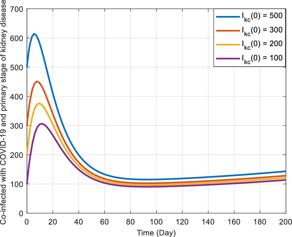
Figure 7
From: A mathematical model for the transmission of co-infection with COVID-19 and kidney disease

Graphical representation of the stability at the disease-free equilibrium point when \({R}_{ck}<1\) and \({R}_{ck}>1\).
From: A mathematical model for the transmission of co-infection with COVID-19 and kidney disease

Graphical representation of the stability at the disease-free equilibrium point when \({R}_{ck}<1\) and \({R}_{ck}>1\).