Figure 2
From: Urban visual pollution: comparison of two ways of evaluation—a case study from Europe

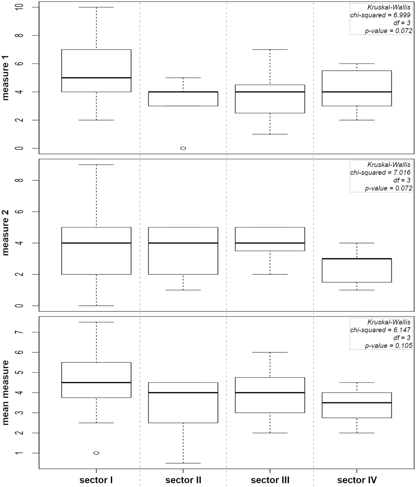
Average value of urban landscape degradation (measure 1, measure 2, mean measure) in certain sectors of Warszawska street. Chi-squared values and p-value are included for each measure.