Figure 11

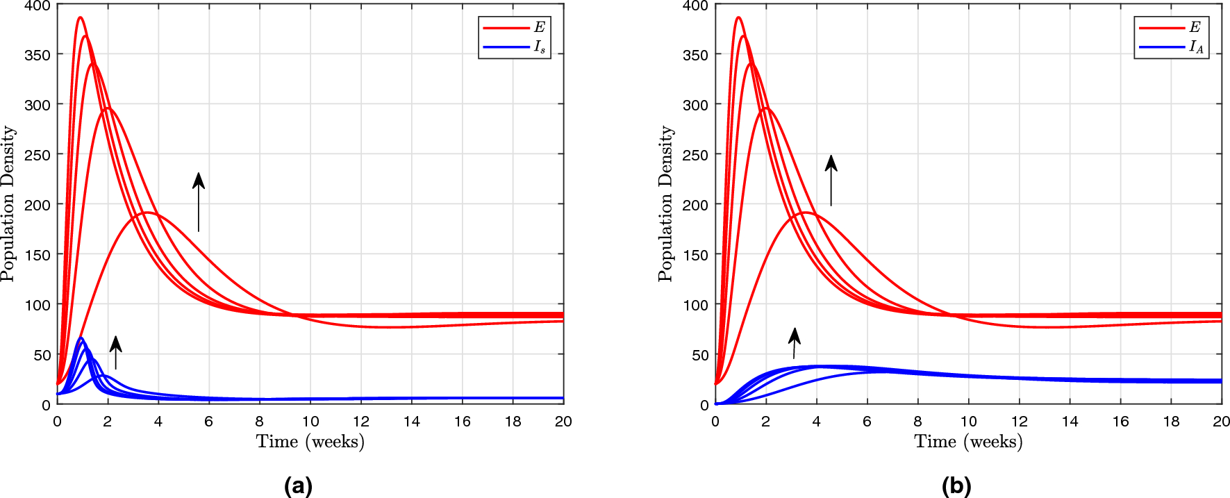
Population densities of exposed peoples vs. (a) symptomatically infected people for different values of \(\omega \) and (b) asymptomatically infected peoples for various values of f.

Population densities of exposed peoples vs. (a) symptomatically infected people for different values of \(\omega \) and (b) asymptomatically infected peoples for various values of f.