Figure 2
From: A risk prediction nomogram for resistant hypertension in patients with obstructive sleep apnea

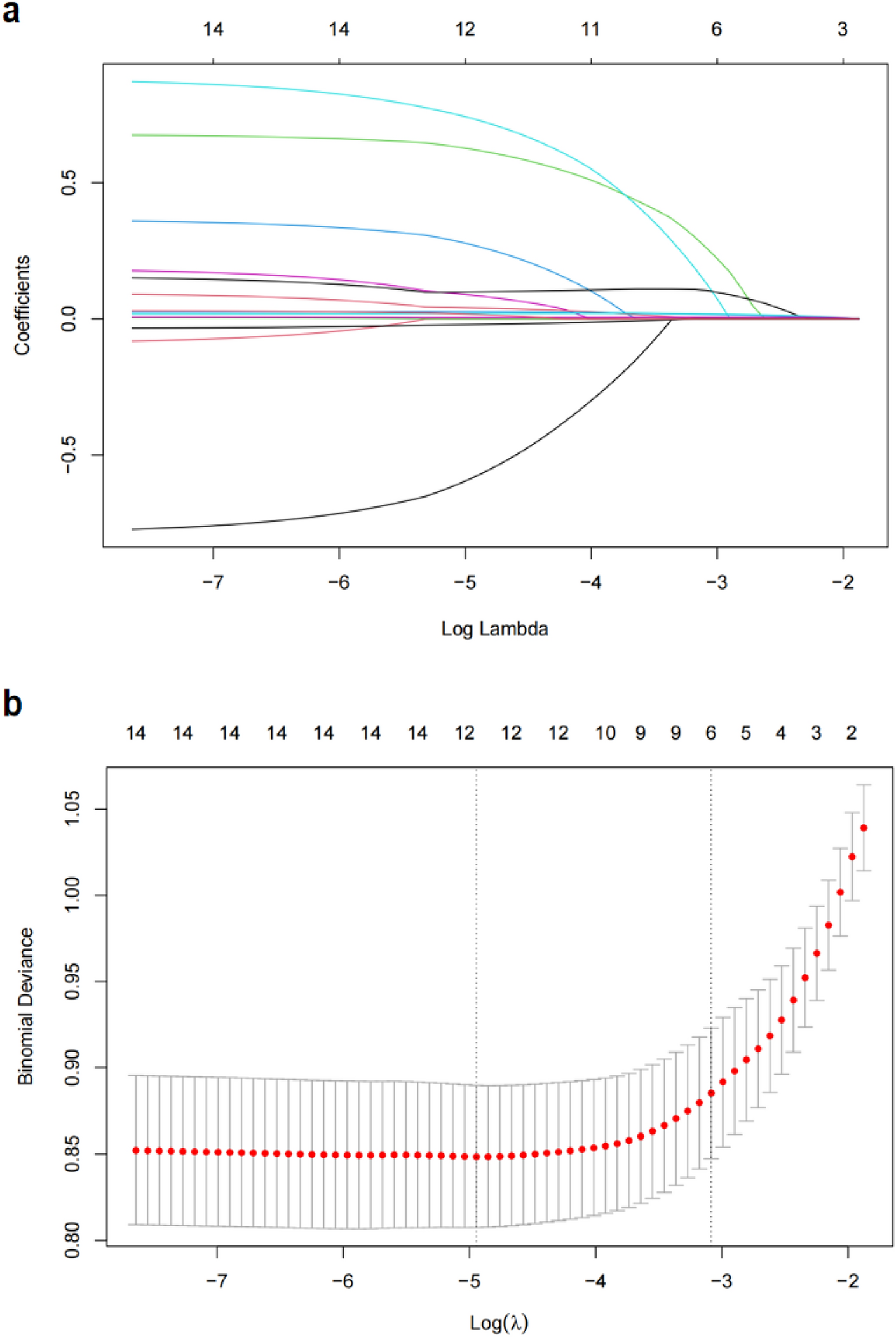
LASSO regression analysis. (a) LASSO coefficient profiles of the 14 variables. As the value of λ decreased, the later the coefficient was compressed, the more important the variable was. (b) Cross-validation results. The value between the two dashed lines is the range of positive and negative standard deviations of log(λ). The dashed line on the right reveals that when the fitting effect of the model is good, the number of variables contained is the least. Finally, six variables were selected when log(λ) = 0.045.