Figure 2
From: Fish oil ameliorates ethanol-induced gastric injury in rat by modulating gene related to apoptosis

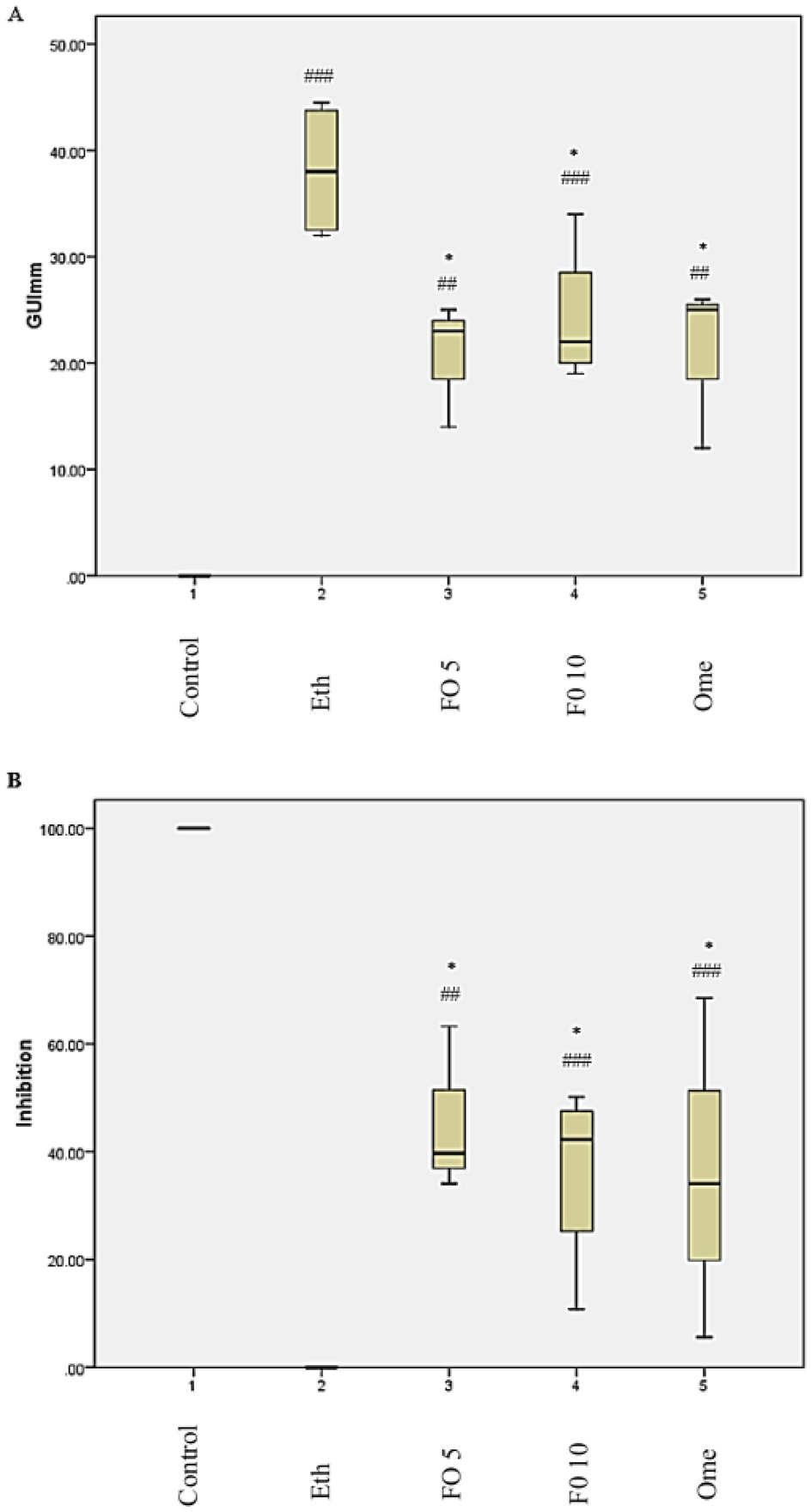
Effect of fish oil on (A) Gastric ulcer index (B) Ulcer inhibition in ethanol-induced gastric mucosa injury. (1) Control, (2) Ethanol (Eth), (3) Fish oil 5 ml/kg, (4) Fish oil 10 ml/kg, and (5) Omeprazole 20 mg/kg. ##p < 0.05 and ###p < 0.01 when compared with the control group. *p < 0.05 when compared with the Ethanol (Eth) group.