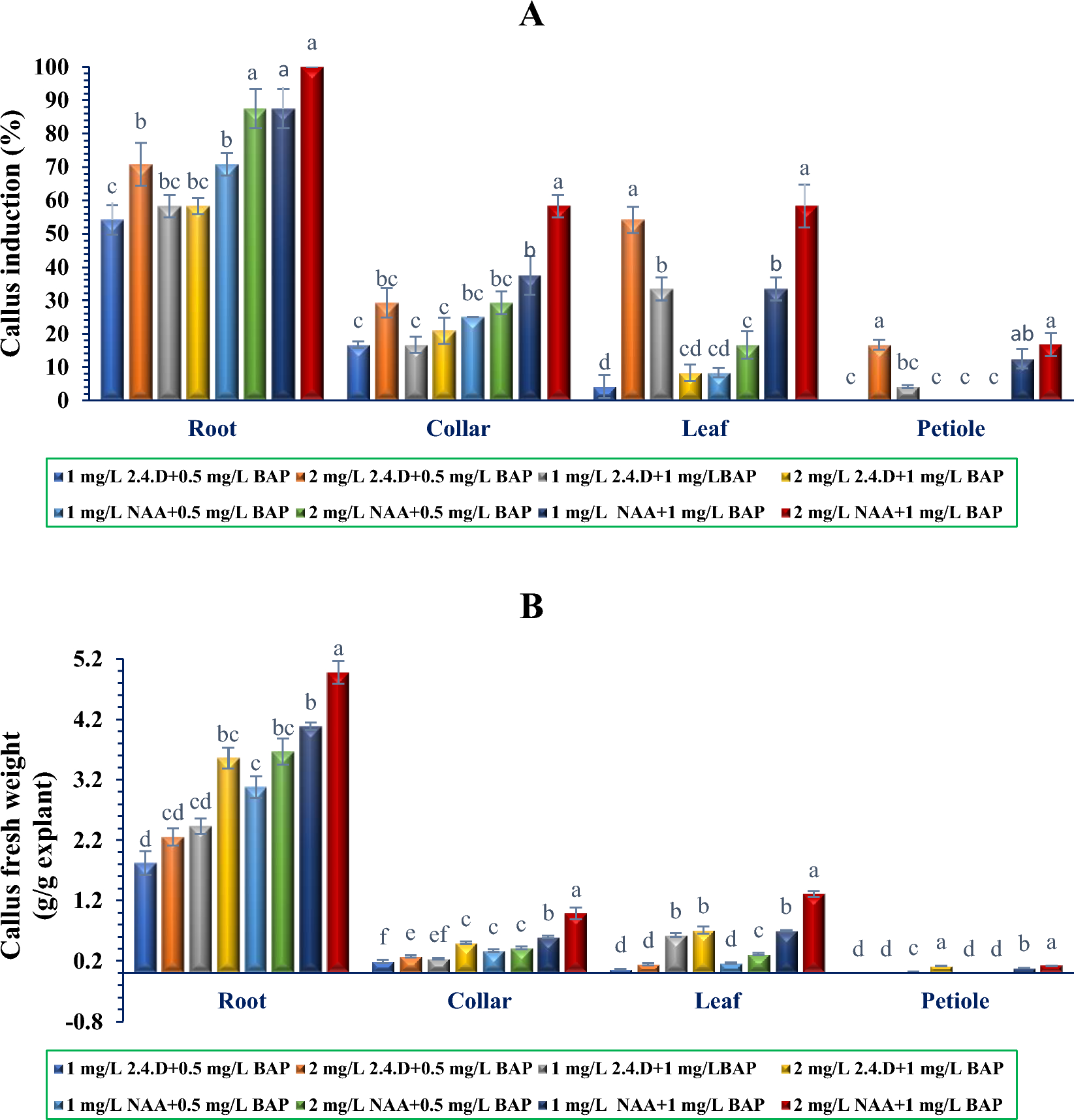
Figure 5

Comparative changes in the callus induction percentage (A) and biomass production (B) in P. orientale explants treated with different concentrations of PGRs. Error bars represent ± SE. Different letters above the columns represent statistically significant differences at P < 0.05 (Duncan’s multiple range test).