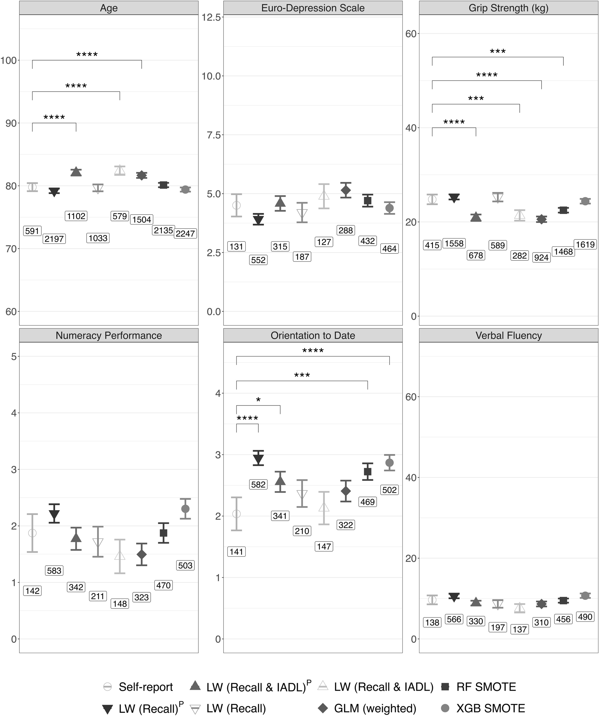
Figure 6
From: Performance of probable dementia classification in a European multi-country survey

Validity assessment in further domains of health and cognitive function; means with 95% CIs for algorithmic ‘probable dementia’ and self-reported physician-diagnosis of dementia; brackets indicate Bonferroni-adjusted p values from Student’s t-tests; ****p < .0001 ***p < .001 **p < .01 *p < .05; Euro-Depression scale ranges from 0 to 12 with higher values indicating higher burden of depressive symptoms; numeracy performance relates to Serial 7’s task; orientation to date relates to 4 questions about the current date. Labels refer to group sizes, i.e., participants with ‘probable dementia’ or self-report physician-diagnosis of dementia and non-missing data. Note that Euro-Depression scale, numeracy performance, orientation to date and verbal fluency were only available for a subset of 12 countries. LW (Recall) with a Recall-cutoff reflecting the 2.5th percentile, LW (Recall)P with a Recall-cutoff reflecting country-level dementia prevalence16,17, LW (Recall & IADL) based on LW (Recall) with an IADL cutoff reflecting 1.5 IQR above Q3, LW (Recall & IADL)P based on LW (Recall)P with an IADL cutoff reflecting 1.5 IQR above Q3, Logistic Regression (GLM weighted), Random Forest (RF SMOTE) and XGBoost (XGB SMOTE).