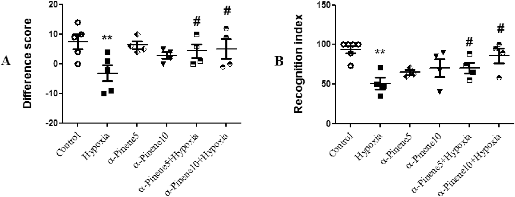
Figure 3

Comparison the average of (A) Difference score and (B) Recognition index between the studied groups. ** pā<ā0.01 indicates a significant difference between experimental groups versus Control group. # pā<ā0.05 shows a significant difference between the hypoxia groups treated with alpha-pinenes and the hypoxia group (nā=ā6). Data represent as the meanā±āSEM.