Figure 8

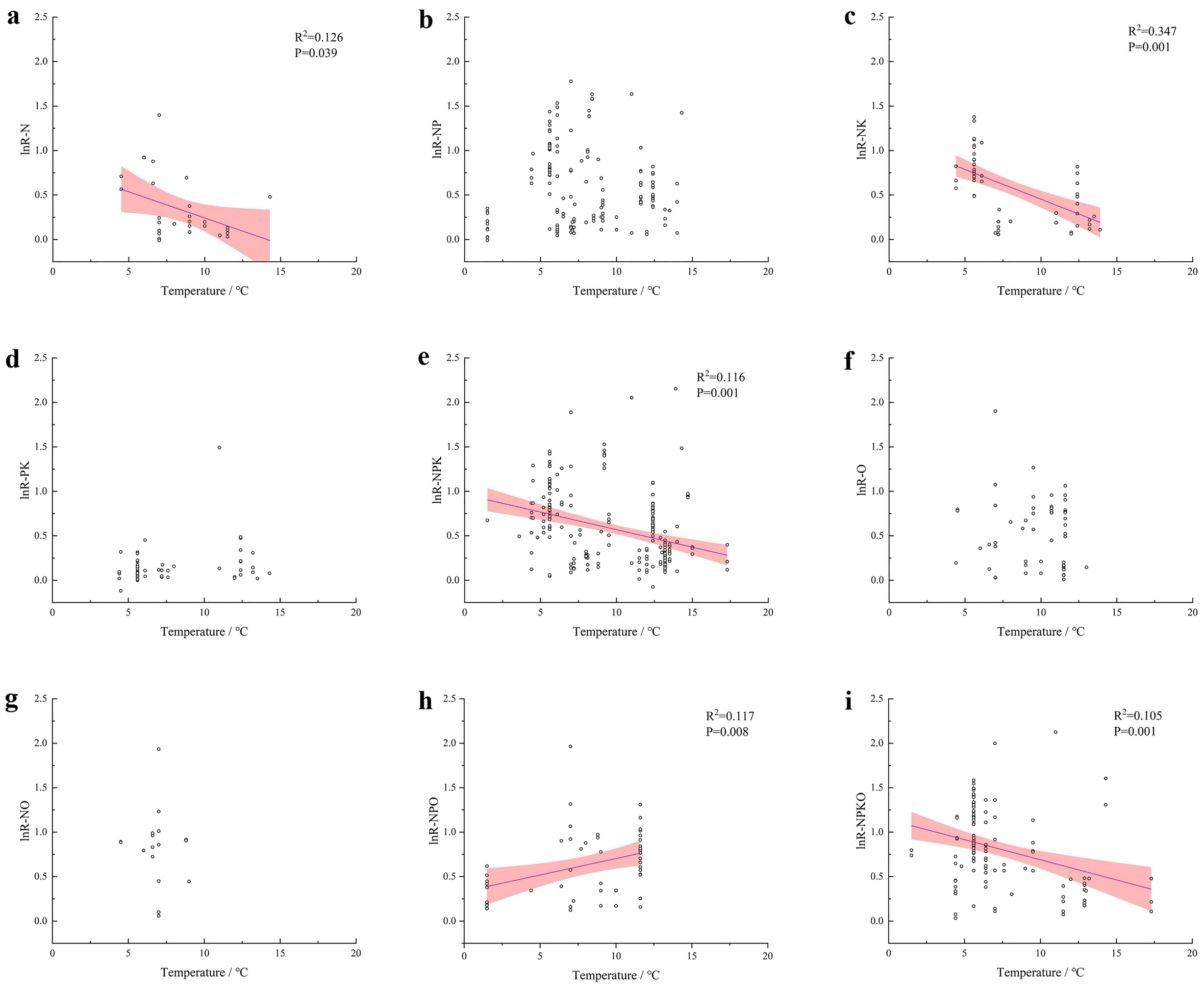
Linear regression analysis of effect sizes of maize yield and average annual temperature under different fertilization practices. (a) N. (b) NP. (c) NK. (d) PK. (e) NPK. (f) O. (g) NO. (h) NPO. (i) NPKO.

Linear regression analysis of effect sizes of maize yield and average annual temperature under different fertilization practices. (a) N. (b) NP. (c) NK. (d) PK. (e) NPK. (f) O. (g) NO. (h) NPO. (i) NPKO.