Figure 4
From: A survey on fractal fractional nonlinear Kawahara equation theoretical and computational analysis

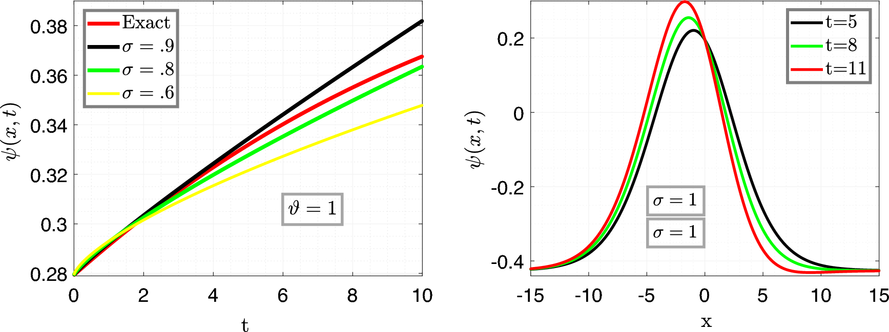
Time behavioral plots of considered model with CFO.
From: A survey on fractal fractional nonlinear Kawahara equation theoretical and computational analysis

Time behavioral plots of considered model with CFO.