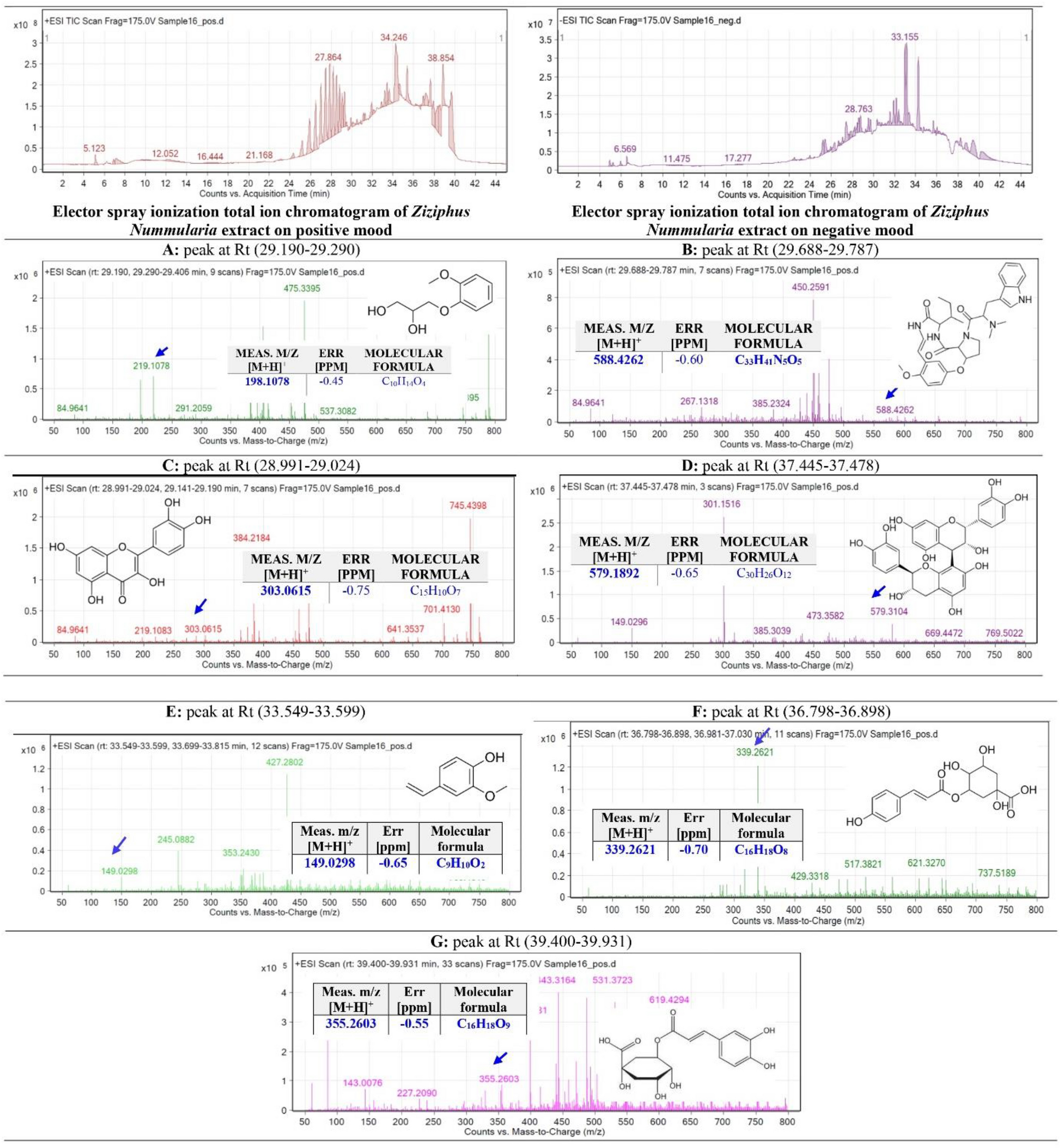
Figure 11

Base peak chromatogram of Z. nummularia ethyl acetate extract was tentatively identified secondary metabolites are (A) Guaifenesin47, (B) Nummularine R45, (C) Quercetin41, (D) Procyanidin B144, (E) 2-Methoxy-4-vinylphenol41, (F) Coumaroylquinic acid47, and (G) Chlorogenic acid41, Means m/z implies measured m/z.