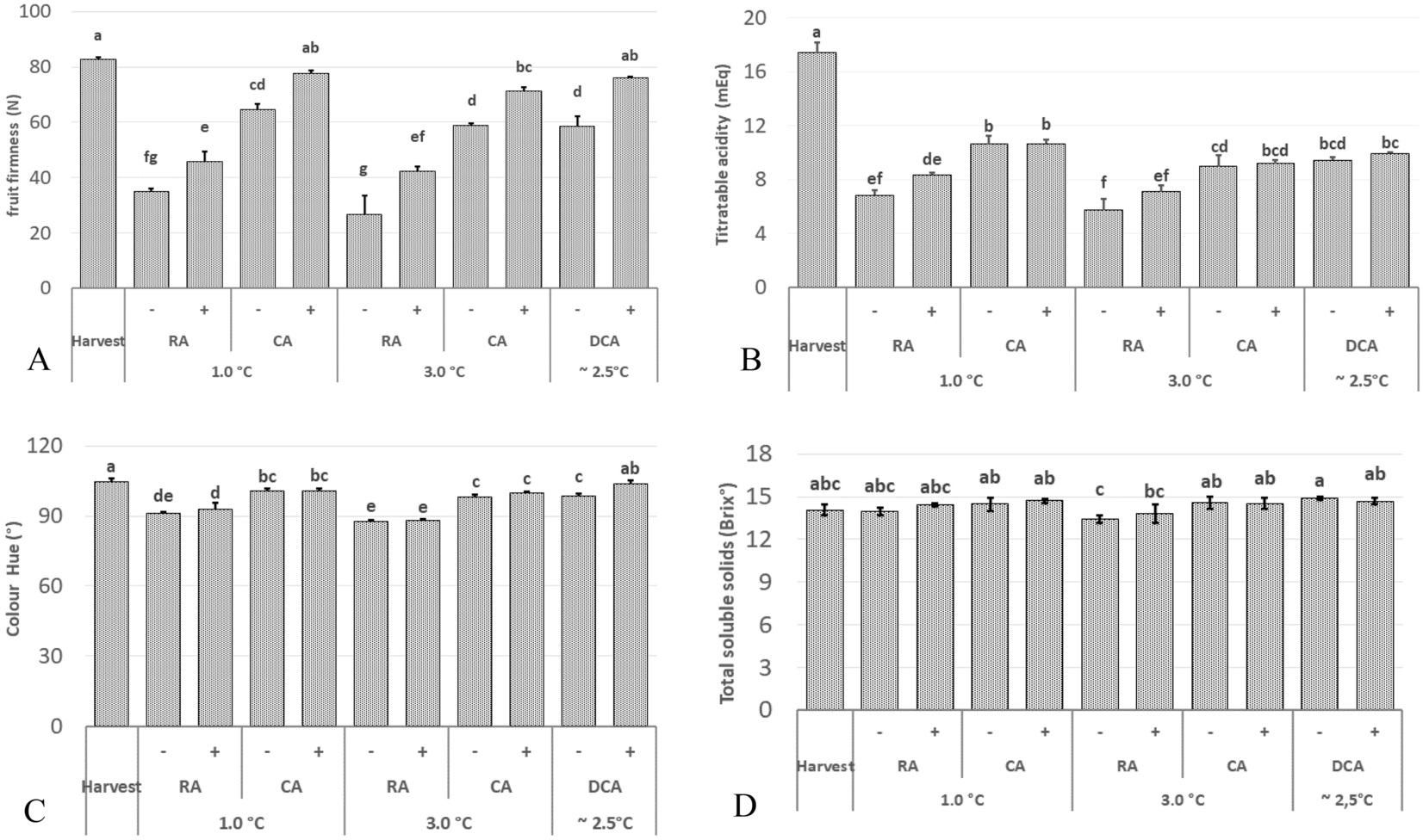
Figure 2

(A) Firmness (N); (B) Titratable acidity (mEq); (C) Background color (Hue°); (D) Total soluble solids (Brix °) after 7 months of storage + 7 days of shelf-life) at different storages for 'Shalimar' variety, where ‘ + ’ denotes treatment with 1-MCP and ‘−’ denotes untreated fruit. Mean values with the same letter show no significant difference (Tukey test, p ≤ 0.05).