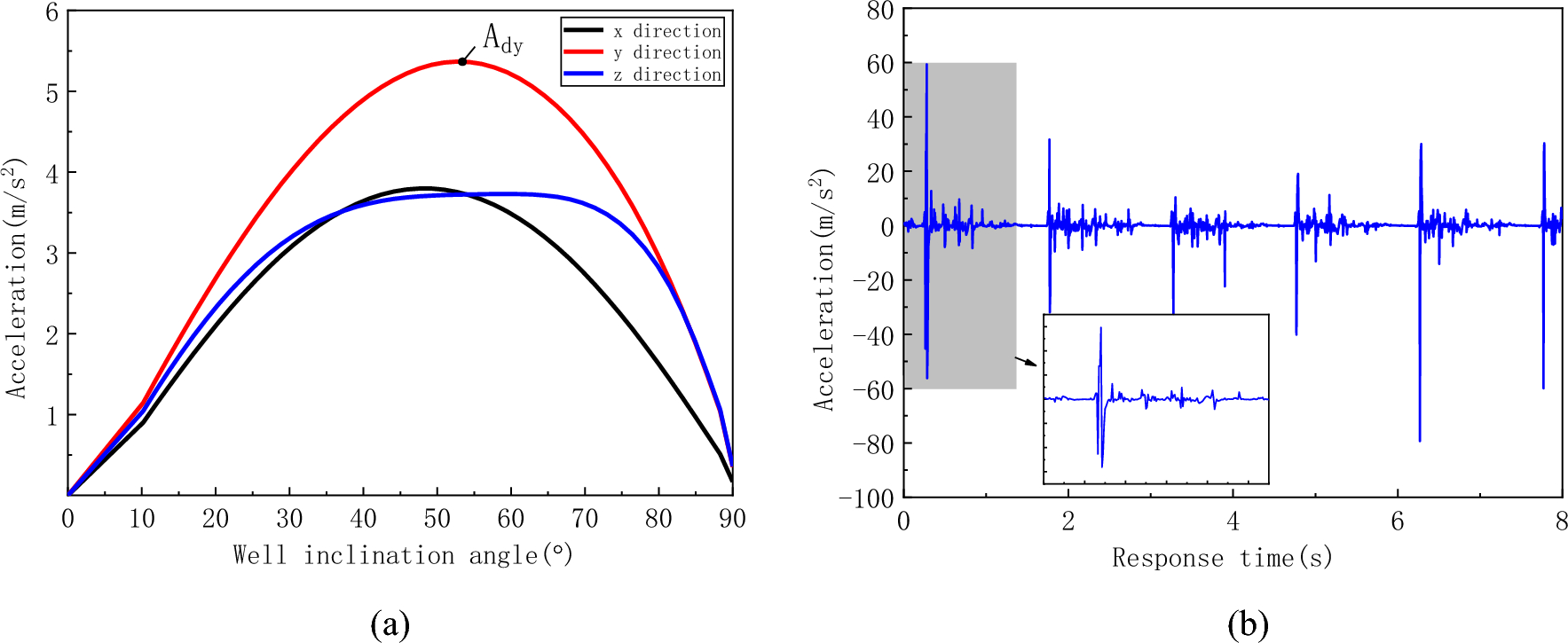
Figure 17

Acceleration curve of the flexible drill pipe. (a) Effective values of acceleration at various well angles, (b) Time history curve at point Ady.

Acceleration curve of the flexible drill pipe. (a) Effective values of acceleration at various well angles, (b) Time history curve at point Ady.