Figure 11

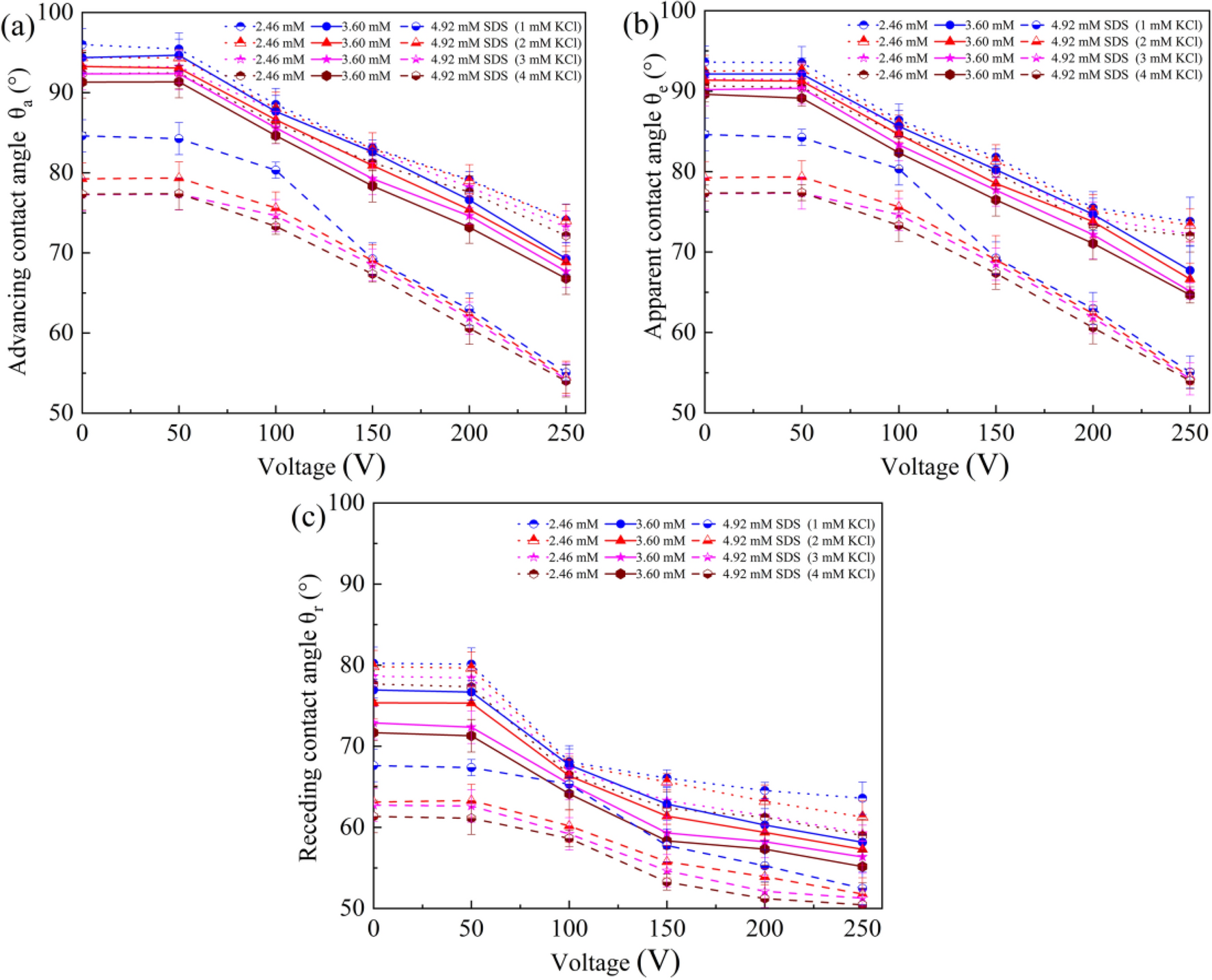
Contact angles for dilute SDS droplets on a PDMS 10:1 surface under a DC electric field. (a) advancing contact, (b) apparent contact angle, (c) receding contact angle.

Contact angles for dilute SDS droplets on a PDMS 10:1 surface under a DC electric field. (a) advancing contact, (b) apparent contact angle, (c) receding contact angle.