Figure 7
From: Excavating important nodes in complex networks based on the heat conduction model

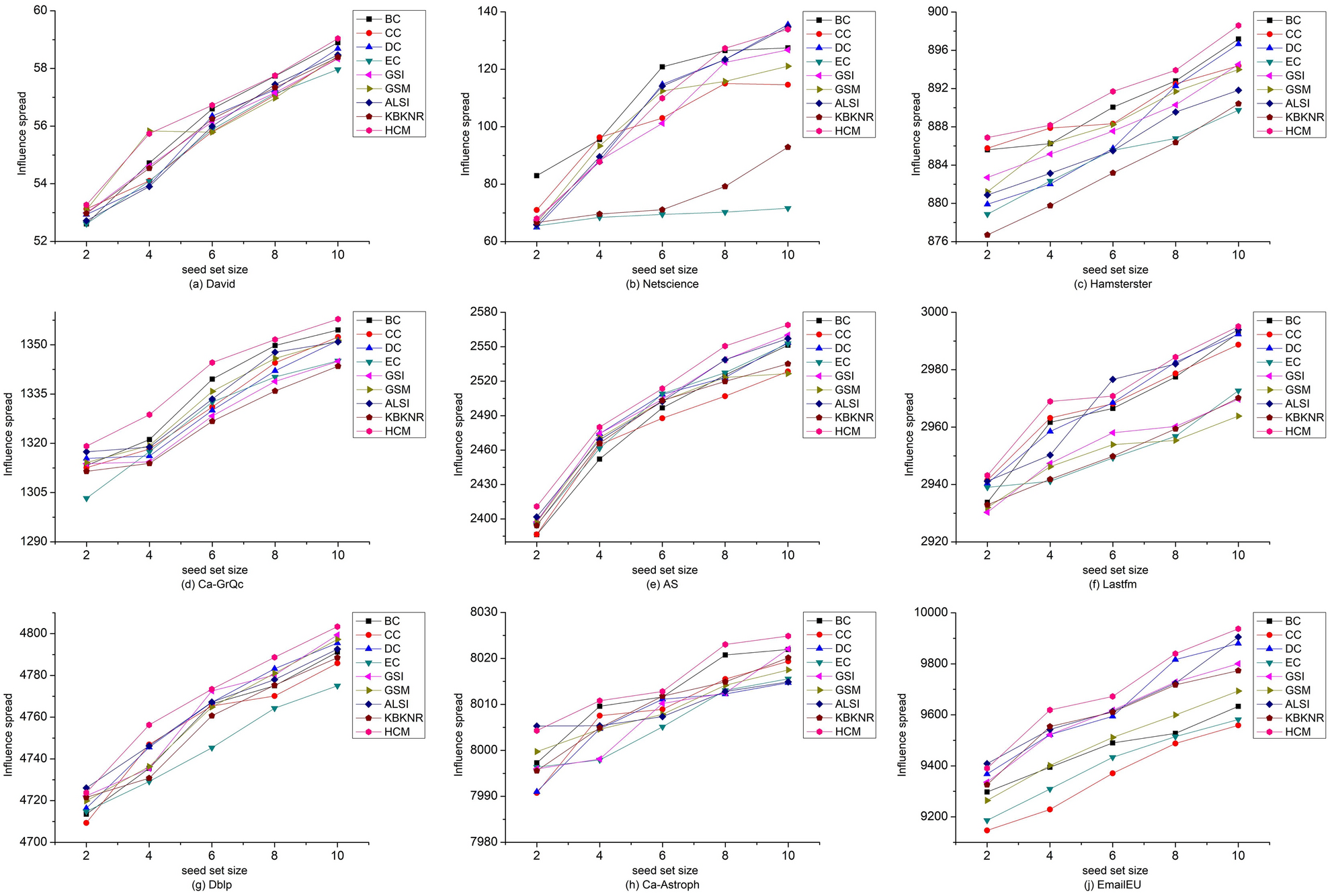
Comparison of the numbers of activated nodes by HCM and other algorithms on nine networks. The x-axis represents seed set size, and the y-axis represents the number of activated nodes.