Figure 12

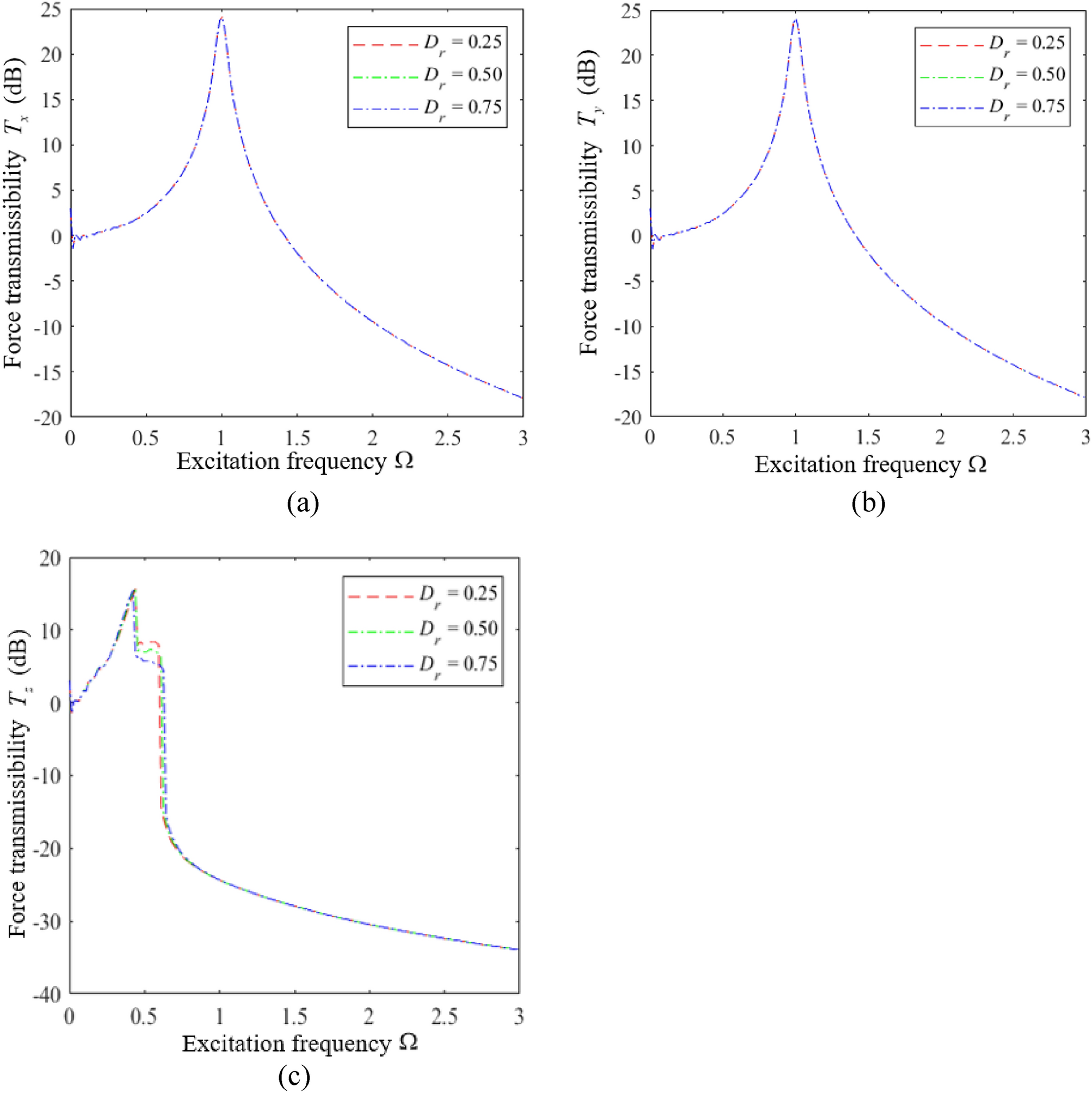
Force transmission rates obtained for an HSLDS-FRVIS as functions of Ω under various values of Dr with \(\hat{l} = 0.667\) and otherwise standard conditions: (a) Tx; (b) Ty; (c) Tz.

Force transmission rates obtained for an HSLDS-FRVIS as functions of Ω under various values of Dr with \(\hat{l} = 0.667\) and otherwise standard conditions: (a) Tx; (b) Ty; (c) Tz.