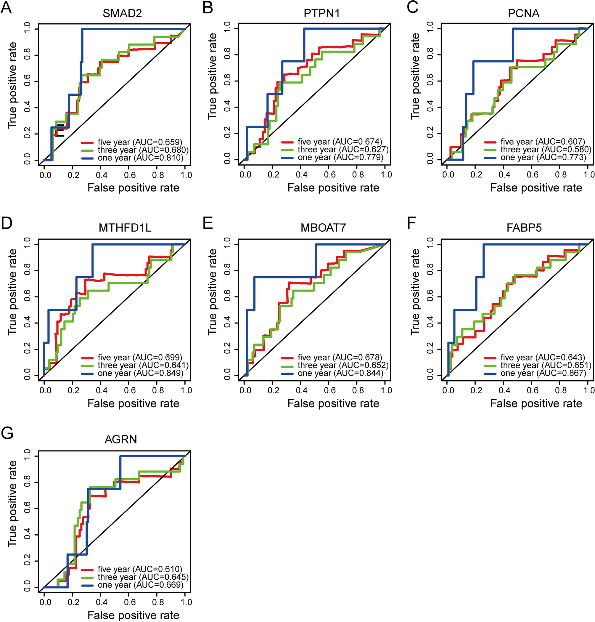
Figure 7
From: Proteomic analysis of DEN and CCl4-induced hepatocellular carcinoma mouse model

ROC curves for seven proteins with significant prognostic value. (A–G) ROC curves of (A) MAD2, (B) PTPN1, (C) PCNA, (D) MTHFD1L, (E) MBOAT7, (F) FABP5, (G) AGRN in Jiang et al.’s HCC cohort.