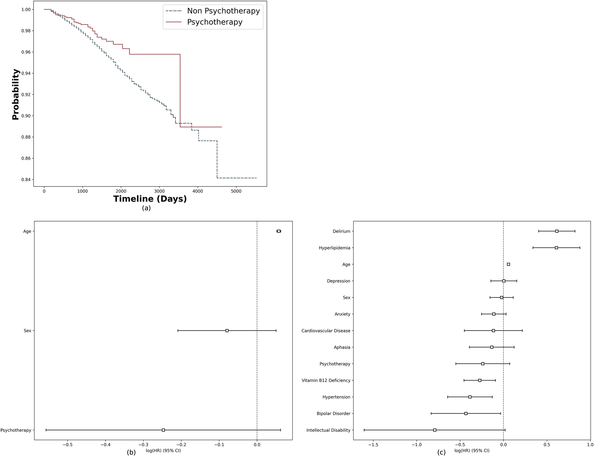
Figure 5

RWD analysis results for Psychotherapy: (a) The Kaplan–Meier survival plots for the MCI cohort, (b) multivariate-adjusted Cox regression model for ADRD (adjusted for age and sex), (c) multivariate-adjusted Cox regression model for ADRD (adjusted for age, sex and disease likely to cause ADRD).