Figure 8
From: Study on dynamic characteristics of cavitation in underwater explosion with large charge

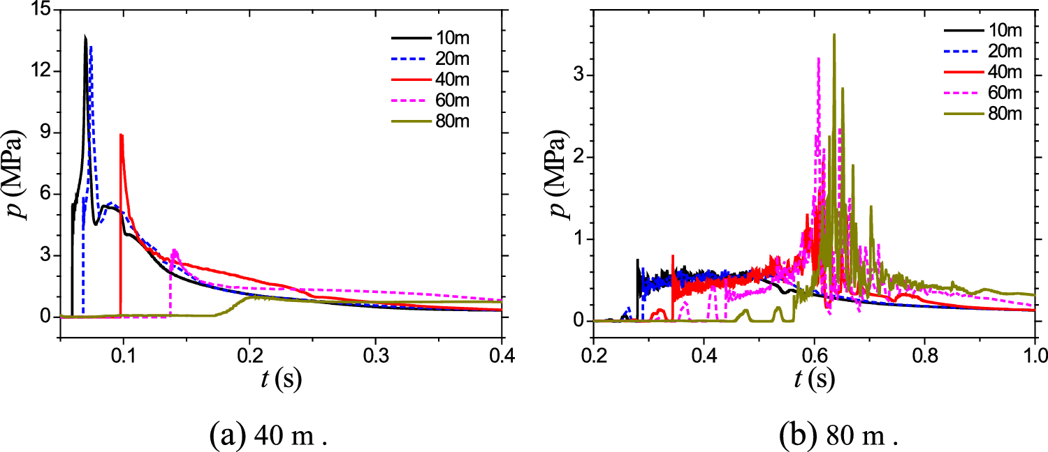
Cavitation collapse pressure induced by 5000Â tons of TNT.
From: Study on dynamic characteristics of cavitation in underwater explosion with large charge

Cavitation collapse pressure induced by 5000Â tons of TNT.