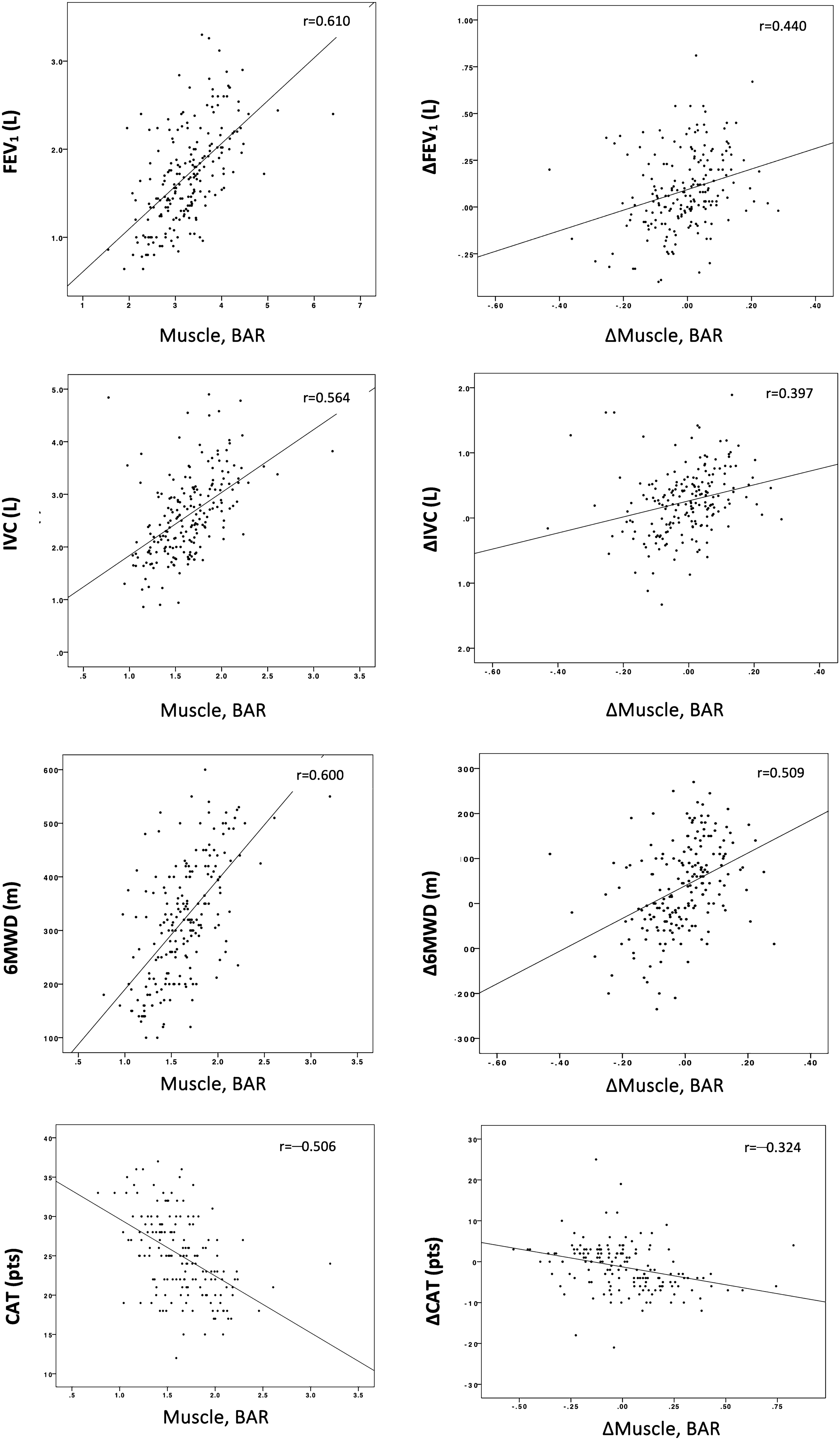
Figure 3

Correlation analysis of clinical outcomes with body composition parameters. Representative scatter plots of clinical outcome parameters with bone adjusted muscle volume (left) and their respective changes (right) at the 6-month follow-up mark. 6MWD, 6-min walking distance; CAT, COPD Assessment Test; FEV1, forced expiratory volume in 1 s; IVC, inspiratory vital capacity; RV, residual volume, BAR; bone adjusted ratio.