Figure 9

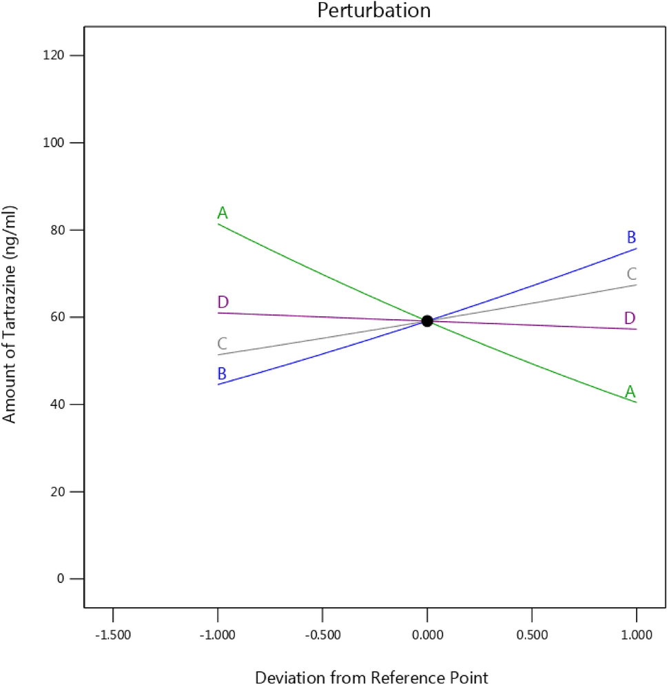
Perturbation plot of effects of study variables on tartrazine absorption by the Fe SA-MOF@CNF adsorbent at optimal conditions.

Perturbation plot of effects of study variables on tartrazine absorption by the Fe SA-MOF@CNF adsorbent at optimal conditions.