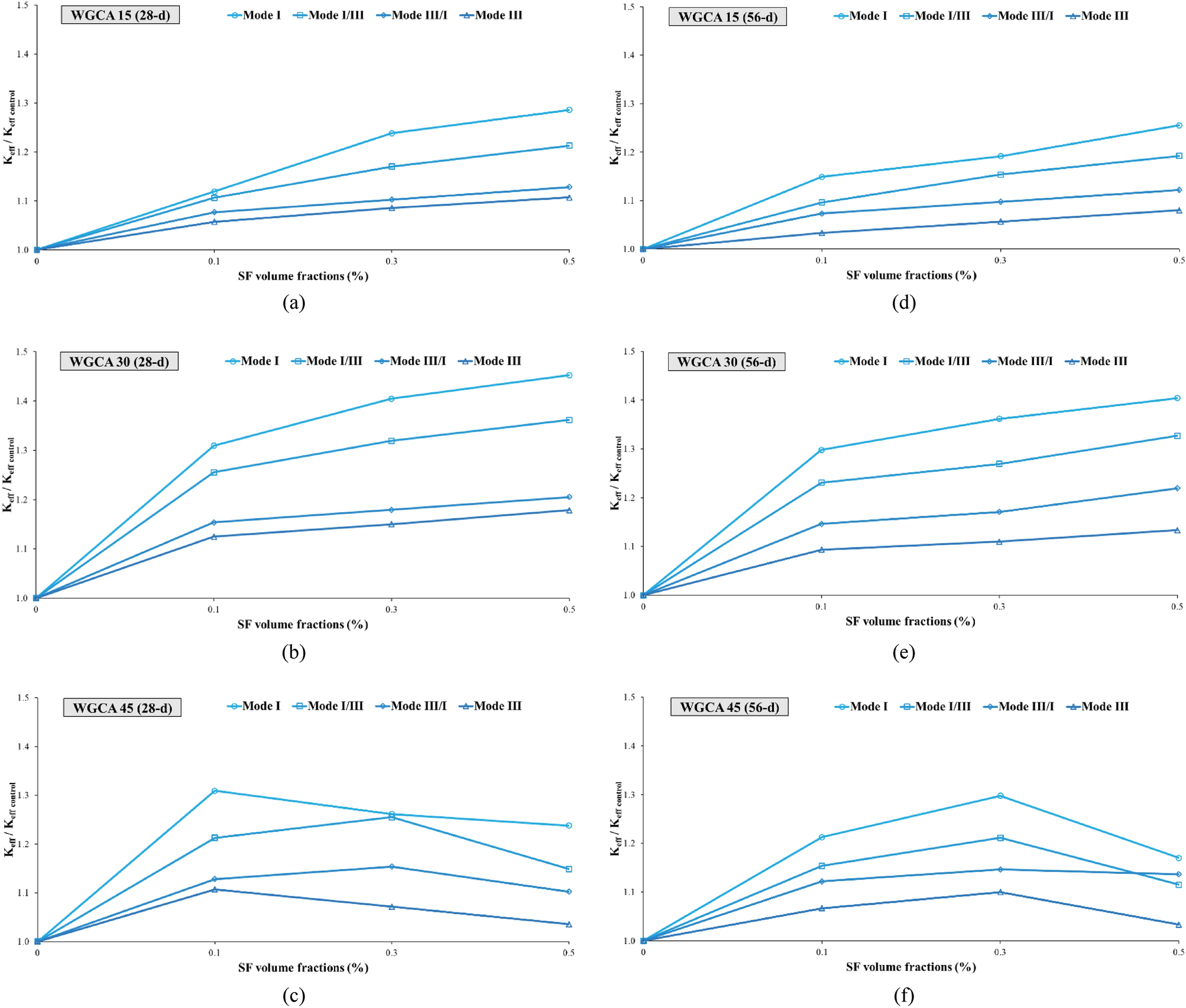
Figure 22

Comparing the effect of different SF volumes on the normalized \({\text{K}}_{{{\text{eff}}}} /{\text{K}}_{{{\text{eff}}_{{\text{ control}}} }}\) ratio of each WGCA volume at different ages.

Comparing the effect of different SF volumes on the normalized \({\text{K}}_{{{\text{eff}}}} /{\text{K}}_{{{\text{eff}}_{{\text{ control}}} }}\) ratio of each WGCA volume at different ages.