Figure 2
From: Controlling inter-particle distances in crowds of motile, cognitive, active particles

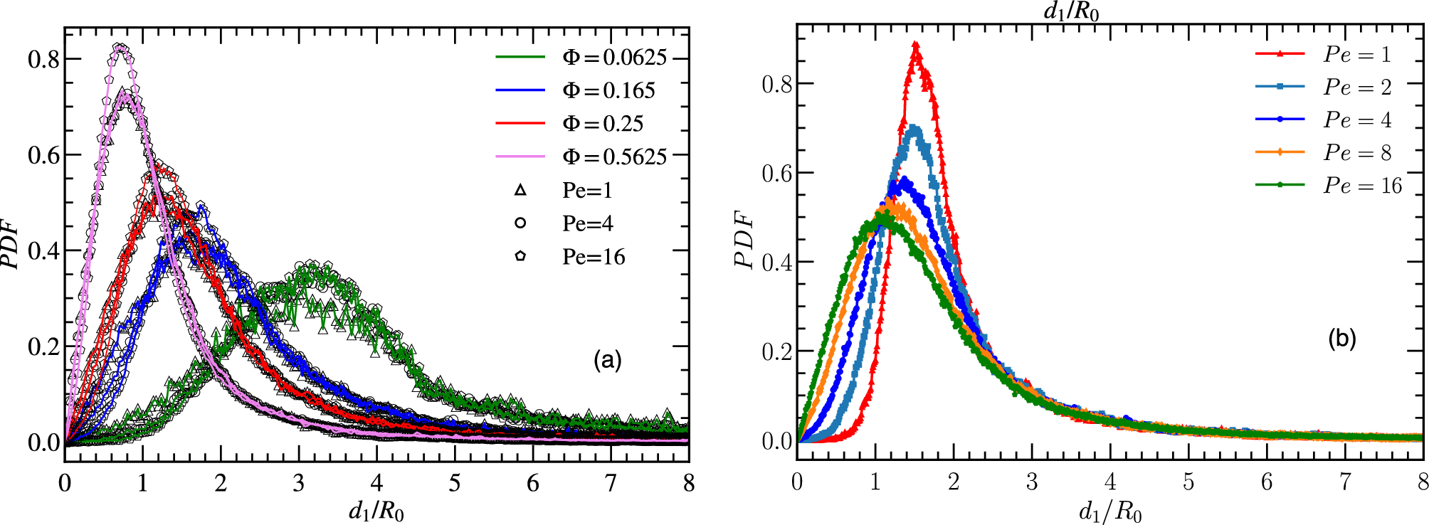
Probability density function (PDF) of the distance \(d_1\) to the nearest neighbor. (a) For various particle densities \(\Phi = 0.0625, 0.165, 0.25, 0.5625\) and activities \(\hbox{Pe} \in {(1,4,16)}\), with fixed activity-to-maneuverability ratio \(\hbox{Pe}^{3/2}/\Omega =1\), and vision angle \(\theta =\pi /2\). (b) Dependence on Péclet number \(\hbox{Pe}\), with fixed particle density \(\Phi =0.25\), maneuverability \(\Omega =16\), vision angle \(\theta =\pi /2\), cutoff range \(R_V= 4 R_{0}\).