Figure 14
From: Pulsatile nanofluid flow with variable pressure gradient and heat transfer in wavy channel

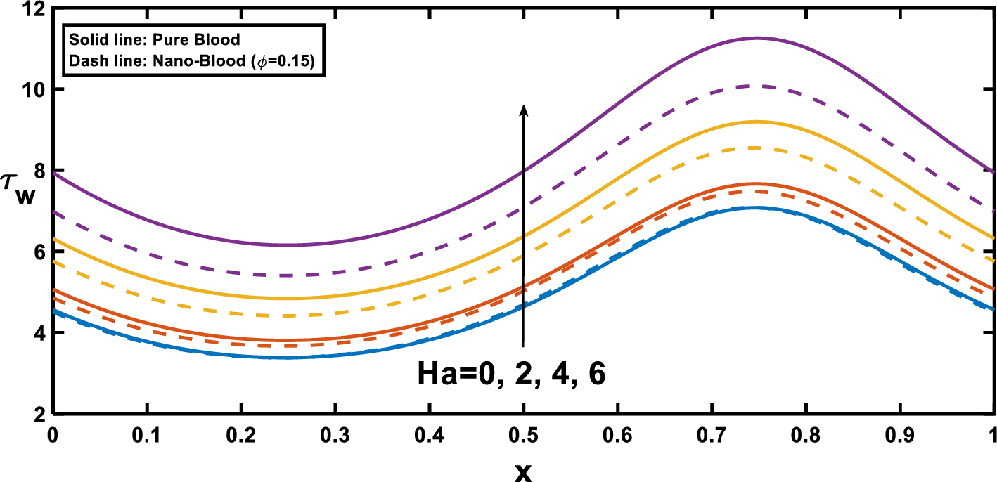
Wall shear stress profile for various values of Hartmann number \(\left(Ha\right)\) and the nanoparticle concentration \((\varphi )\).
From: Pulsatile nanofluid flow with variable pressure gradient and heat transfer in wavy channel

Wall shear stress profile for various values of Hartmann number \(\left(Ha\right)\) and the nanoparticle concentration \((\varphi )\).