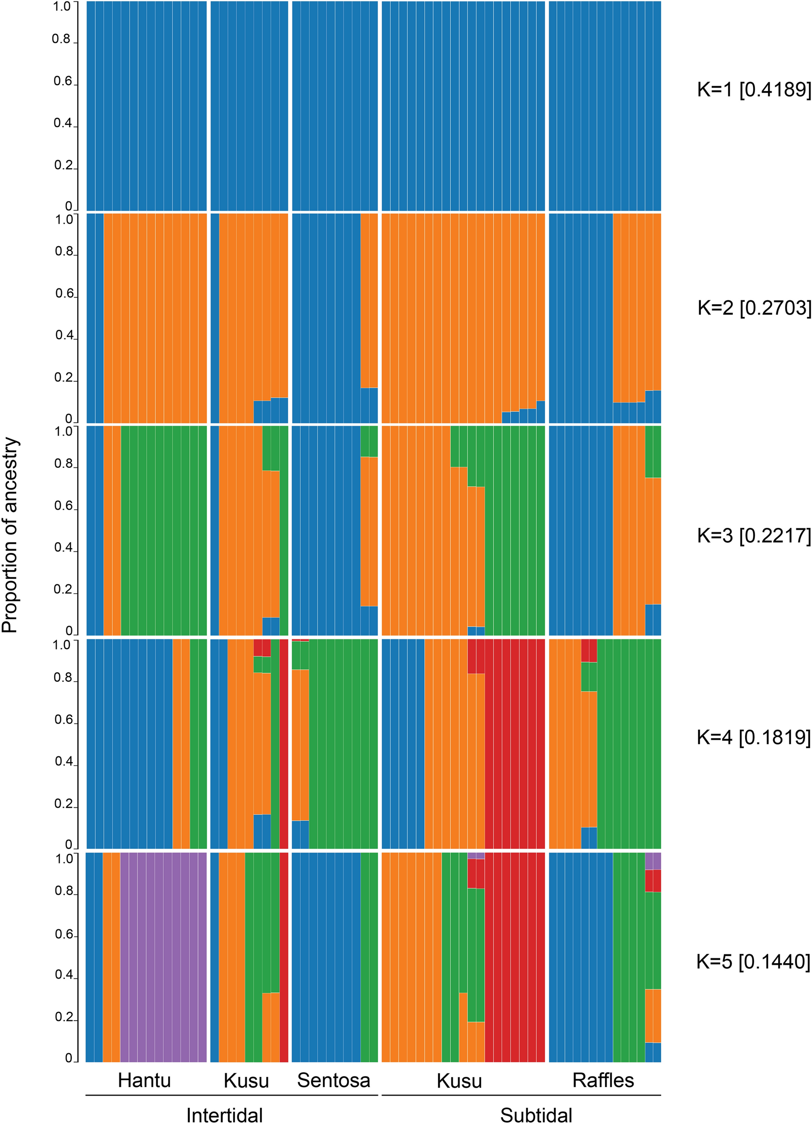
Figure 4

Proportion of ancestry calculated using Admixture, showing up to five potential K values and the corresponding CV errors in brackets.

Proportion of ancestry calculated using Admixture, showing up to five potential K values and the corresponding CV errors in brackets.