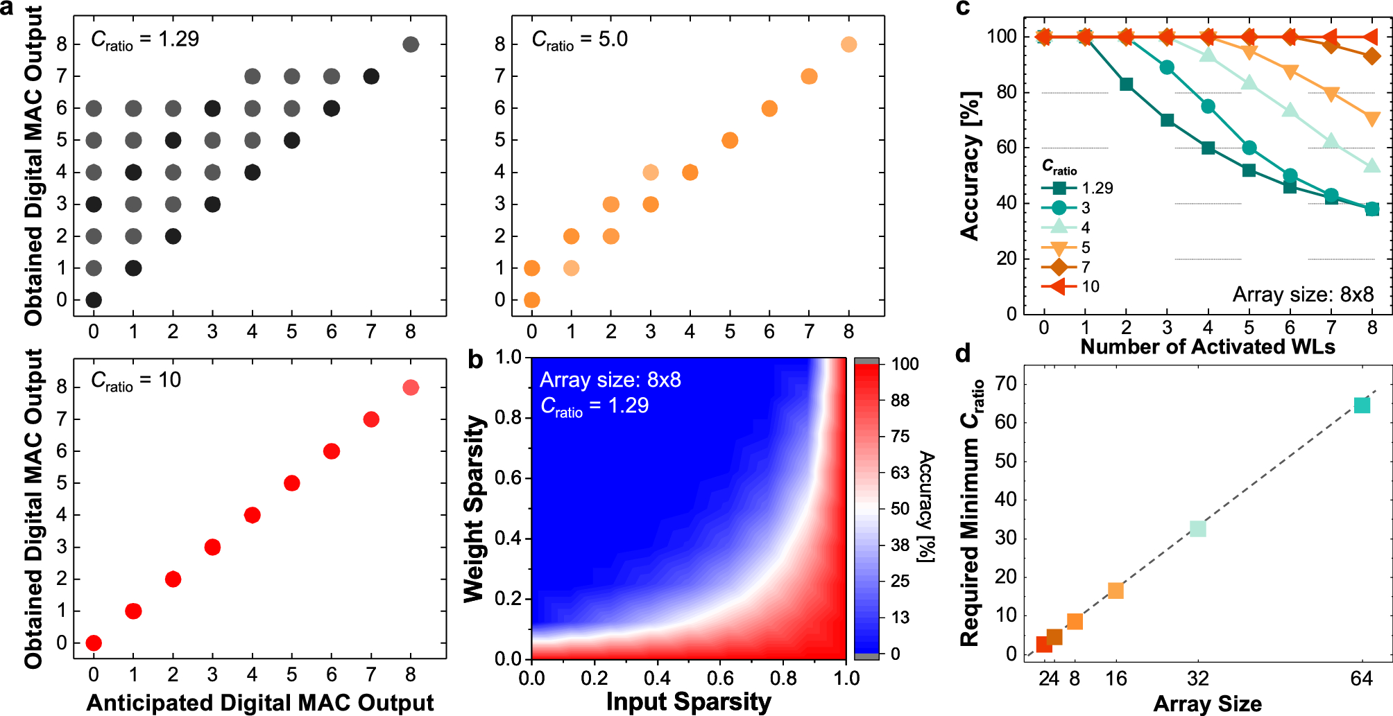
Figure 6

\(8\times 8\) size FeCap crossbar array, operation schemes, and its performance. (a) Comparison of anticipated digital MAC output with obtained digital output from FeCap-based crossbars at \(C_{ratio}\) = 1.29, 5.0, and 10. Cases with low \(C_{ratio}\) exhibit considerable error in obtained MAC output originated from leakages during the activation of LCS. (b) Heatmap of accuracy with respect to input and weight sparsities at 1.29 of \(C_{ratio}\). (c) Accuracy of MAC output for different \(C_{ratio}\) and increasing number of activated WLs. (d) Minimum value of \(C_{ratio}\) required for varying FeCap-based crossbar array sizes.