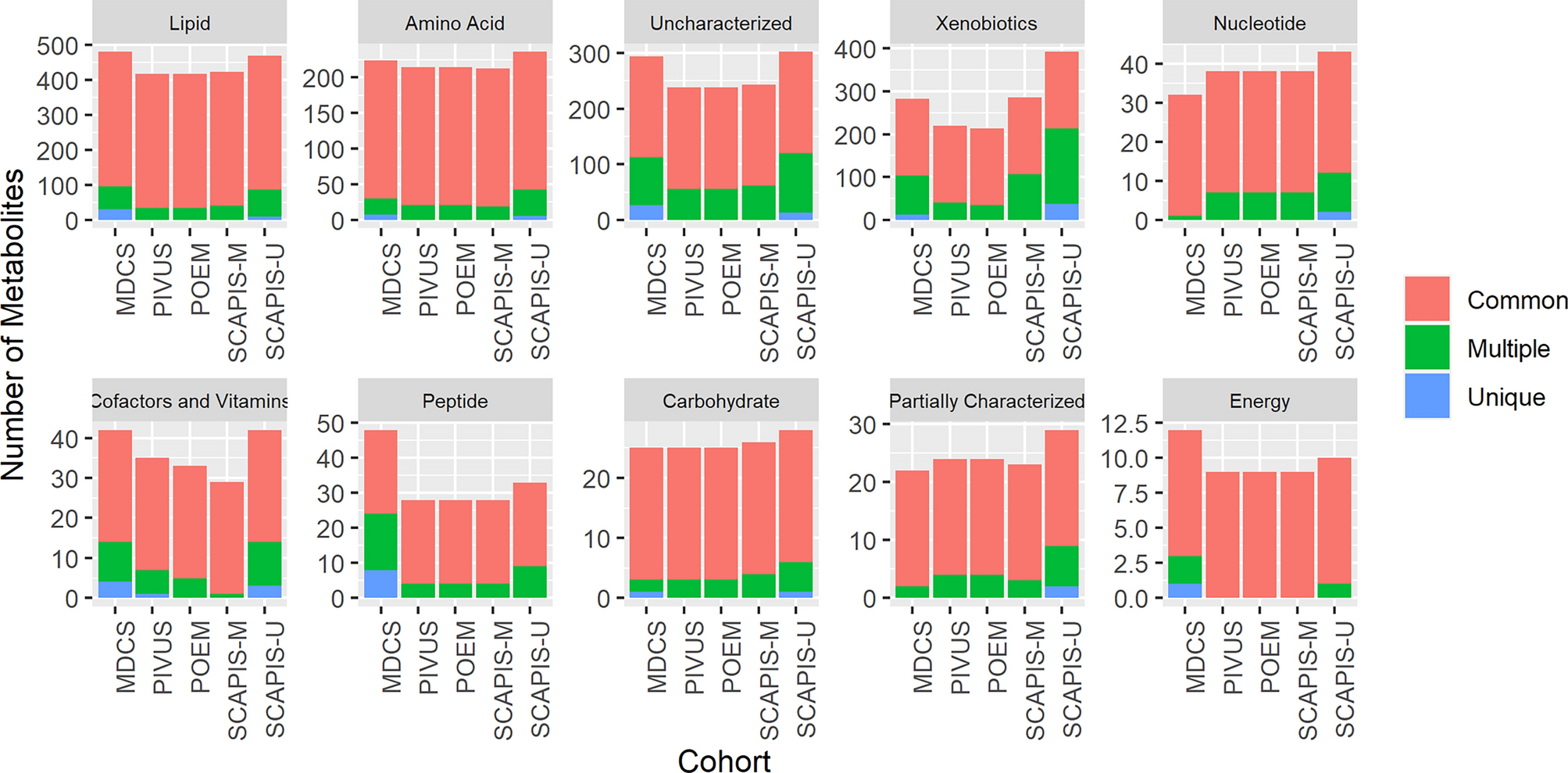
Figure 1
From: Analysis of plasma metabolomes from 11 309 subjects in five population-based cohorts

Number of plasma metabolites detected in each cohort. The proportion of metabolites commonly detected in all cohorts, in multiple cohorts, or that were unique to one cohort are indicated by coloring.