Figure 16
From: Optimizing an electromagnetic wave absorber for bi-anisotropic metasurfaces based on toroidal modes

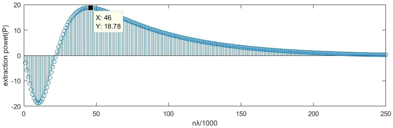
The obtained values for \(\tilde{P}\) at each n in the range of 1 to 250.
From: Optimizing an electromagnetic wave absorber for bi-anisotropic metasurfaces based on toroidal modes

The obtained values for \(\tilde{P}\) at each n in the range of 1 to 250.