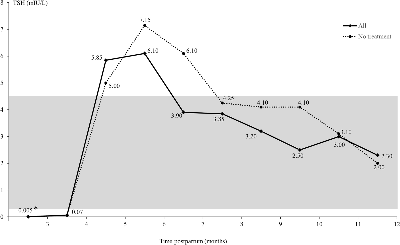
Figure 3
From: Diagnoses of obstetric and postpartum thyroid disease: a Danish validation study

Course of thyrotropin (TSH) during the postpartum period among patients with an O905-diagnosis in the North Denmark Region. Results are illustrated by the median for each month, however, combined for the first three months (*). The solid line illustrates TSH levels among all patients and the dotted line represents women without Levothyroxine treatment at the time of blood sampling. The grey area marks the reference interval for TSH (0.3–4.5 mIU/L).