Figure 2

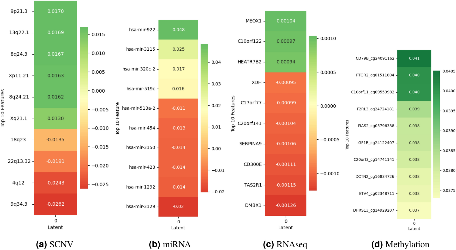
SHAP values demonstrate the impact of biomarkers on contributing to the latent variables of the autoencoder in Glioma multi-omics data.

SHAP values demonstrate the impact of biomarkers on contributing to the latent variables of the autoencoder in Glioma multi-omics data.