Figure 9
From: Damage and reliability analysis of double-arch tunnel without a middle pilot tunnel under blast load

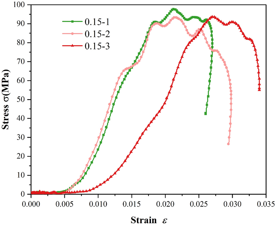
Stress–strain curve of rock under impact.
From: Damage and reliability analysis of double-arch tunnel without a middle pilot tunnel under blast load

Stress–strain curve of rock under impact.