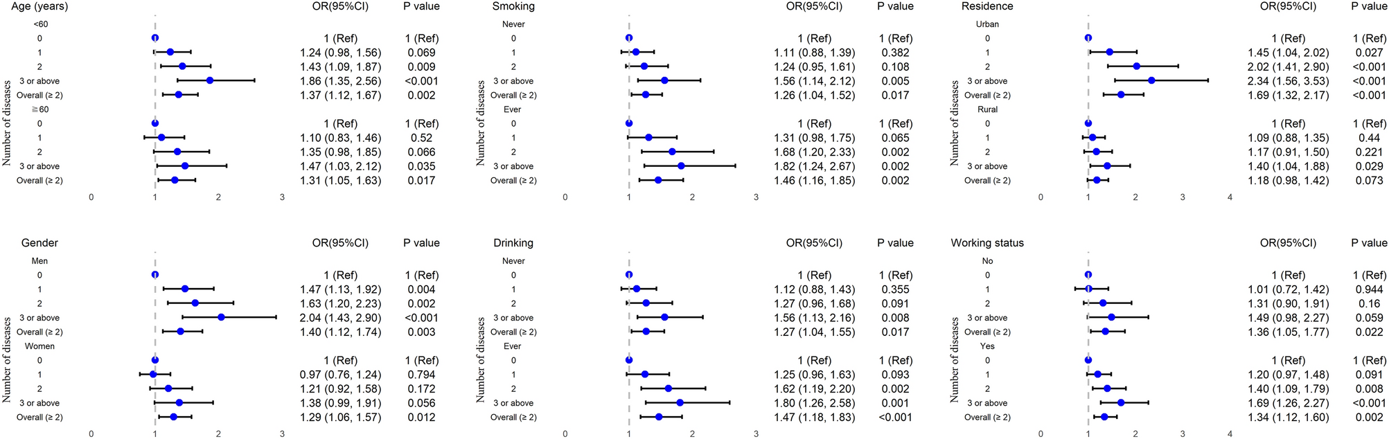
Figure 3

Subgroup analyses for the longitudinal association between falls and single disease, multimorbidity. Models adjusted for age, gender, smoking, alcohol drinking, residential area, and working status (excluding stratified variables).

Subgroup analyses for the longitudinal association between falls and single disease, multimorbidity. Models adjusted for age, gender, smoking, alcohol drinking, residential area, and working status (excluding stratified variables).