Figure 1

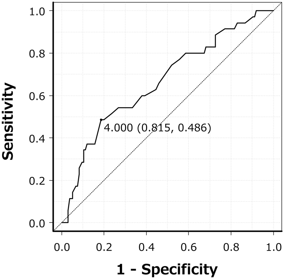
ROC curve of surgical disc space distraction as a predictor of early-onset adjacent segment degeneration (ASD). The curve was used to determine a cut-off value of 4.0 mm.

ROC curve of surgical disc space distraction as a predictor of early-onset adjacent segment degeneration (ASD). The curve was used to determine a cut-off value of 4.0 mm.