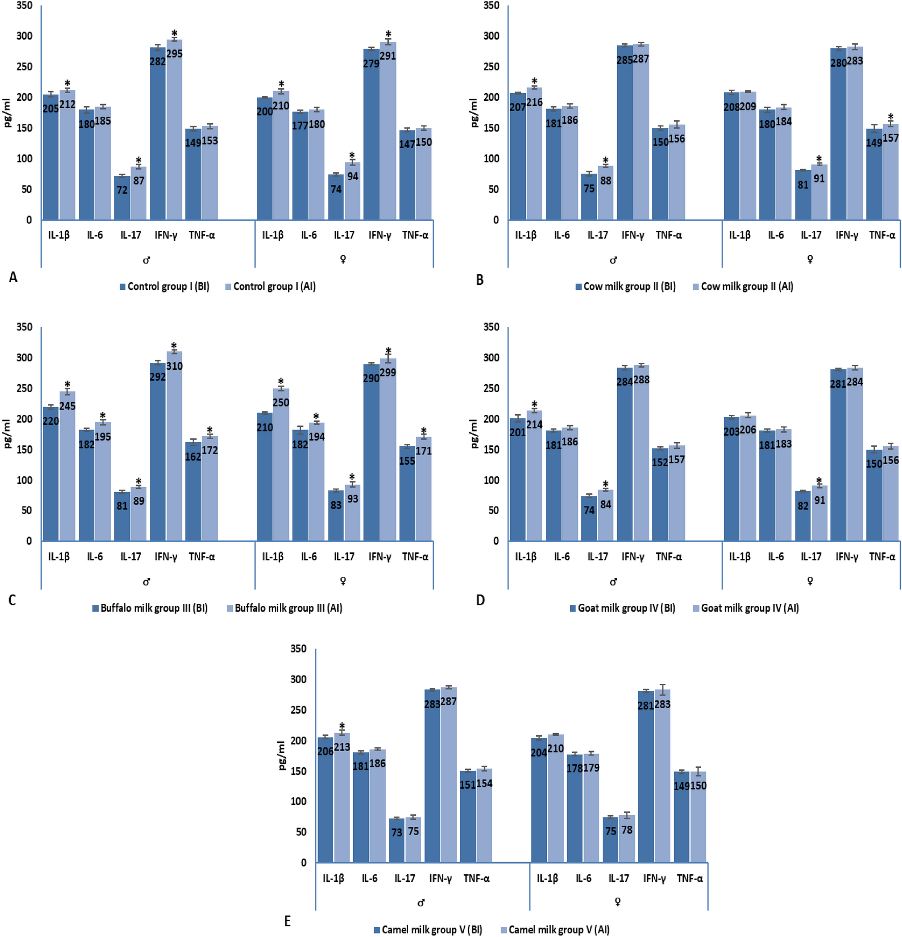
Figure 8

Pro-inflammatory cytokine levels (BI and AI) in all male and female experimental groups. For each cytokine level AI, * represented significance (P < 0.05) when compared to its corresponding level BI.

Pro-inflammatory cytokine levels (BI and AI) in all male and female experimental groups. For each cytokine level AI, * represented significance (P < 0.05) when compared to its corresponding level BI.