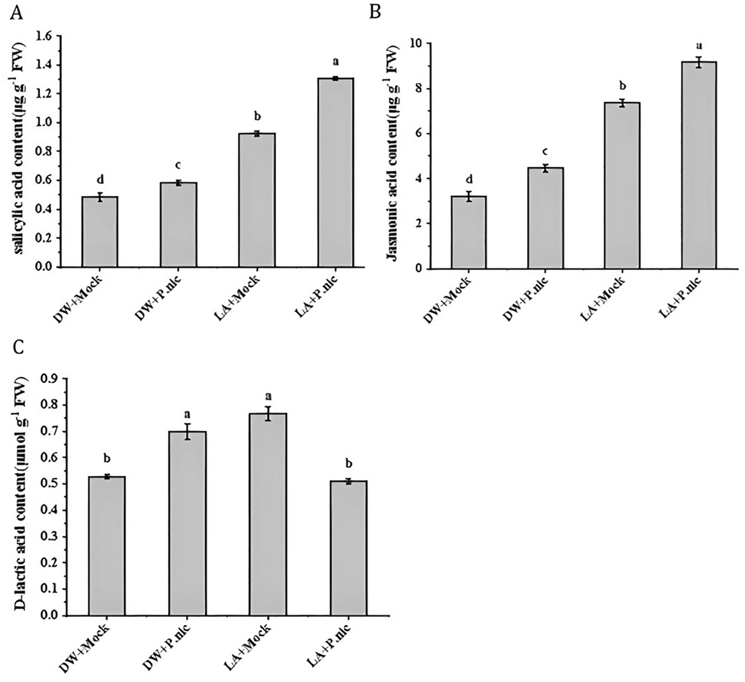
Figure 4
From: Lactic acid induced defense responses in tobacco against Phytophthora nicotianae

Effect of exogenous 7 mM lactic acid pretreatment on (A) salicylic acid content, (B) Jasmonic acid content, (C) D-lactic acid content in tobacco leaves after inoculation with P. nicotianae (P. nic). (DW + Mock) Sprayed with DW/mock inoculation; (DW + P. nic) Sprayed with DW/ inoculated with P. nicotianae; (LA + Mock) Sprayed with lactic acid/mock inoculation; (LA + P.nic) Sprayed with lactic acid/inoculated with P. nicotianae. Data (means ± SE, n = 4) followed by different letters above the bars indicate significant differences (p < 0.05).