Figure 5
From: Lactic acid induced defense responses in tobacco against Phytophthora nicotianae

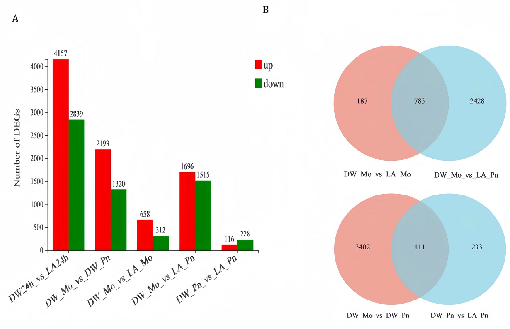
Differential gene expression (DEGs) profiles of tobacco under different treatments. (A)Number of DEGs in pairs under different treatments. (B) Venn diagram of DEGs. (DW_Mo): after sprayed with distilled water, mock inoculation for 24 h. (LA_Mo): after sprayed with 7 mM lactic acid, mock inoculation for 24 h. (DW_Pn): after sprayed with distilled water inoculated with P. nicotianae for 24 h. (LA_Pn): after sprayed with 7 mM lactic acid, inoculated with P. nicotianae for 24 h.