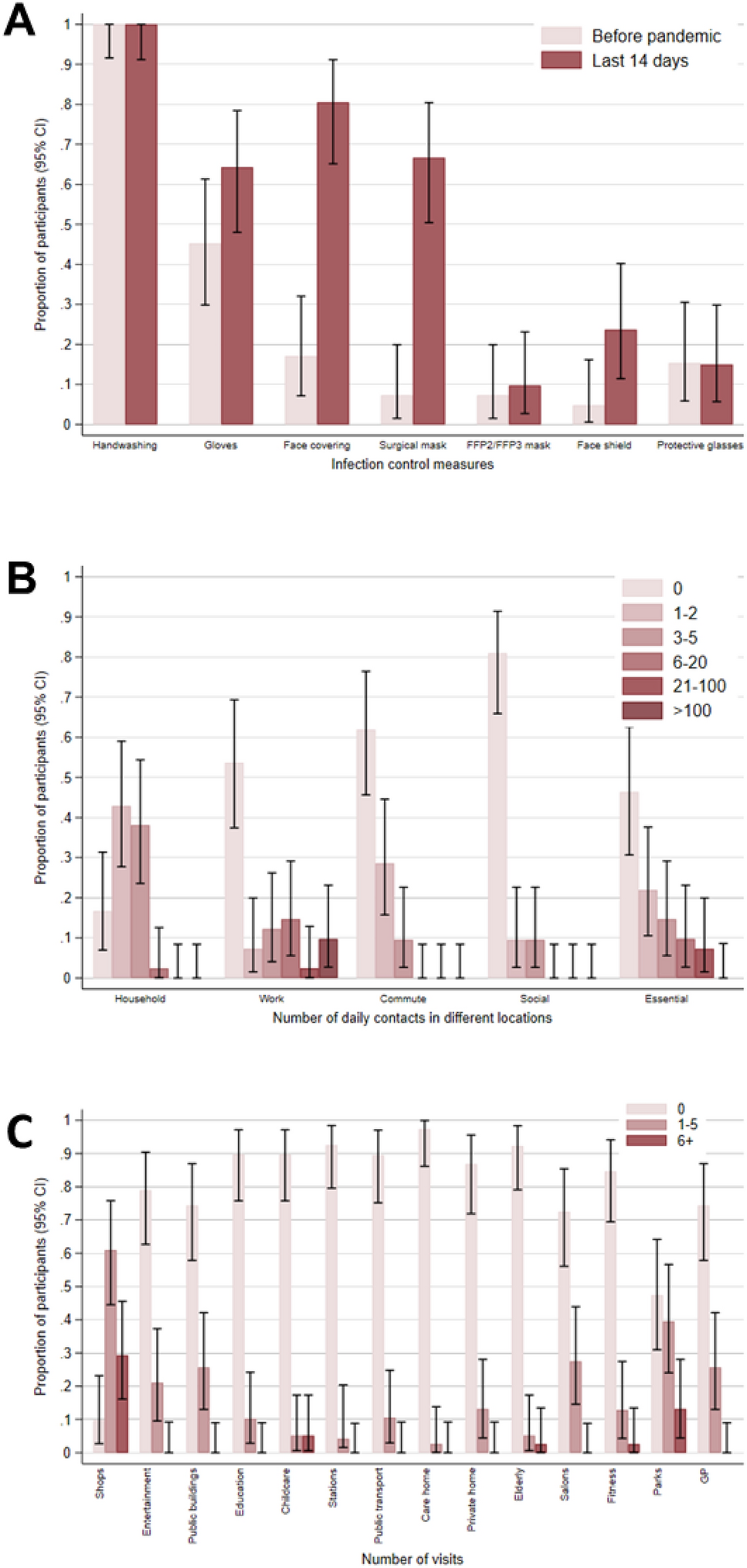
Figure 3

Baseline questionnaire responses of participants (N = 45) from a storage and distribution site. (A) Proportion of participants reporting infection control measures at workplace before the pandemic and within 14 days prior to completing the questionnaire. The following data were missing: handwashing before pandemic (n = 3) and in last 14 days (n = 5), gloves before pandemic (n = 3) and in last 14 days (n = 3), face covering before pandemic (n = 4) and in last 14 days (n = 4), surgical mask before pandemic (n = 4) and in last 14 days (n = 3), FFP2/ FFP3 mask before pandemic (n = 4) and in last 14 days (n = 4), face shield in pandemic (n = 3) and in last 14 days (n = 7), protective glasses before pandemic (n = 6) and in last 14 days (n = 5), (B) Proportion of participants reporting their daily number of contacts in different locations within the last 14 days of completing the questionnaire. The following data were missing: household contacts (n = 3), work contacts (n = 4), commute contacts (n = 3), social contacts (n = 3), and essential contacts (n = 4). (C) Proportion of participants reporting the number of visits they had made to different locations within the last 14 days of completing the questionnaire. The following data were missing: visit to shops (n = 4), visit to entertainment venue (n = 7), visit to public buildings (n = 6), visit to education facility (n = 6), visit to childcare (n = 6), visit to stations (n = 5), visit to public transport (n = 7), visit to care home (n = 7), visit to socialise in a private home (n = 7), visit to care for vulnerable adult in a private home (n = 6), visit to salons (n = 5), visit to fitness facility (n = 6), visit to parks (n = 7), visit to medical facility (n = 6). Error bars represent 95% confidence intervals (CI).