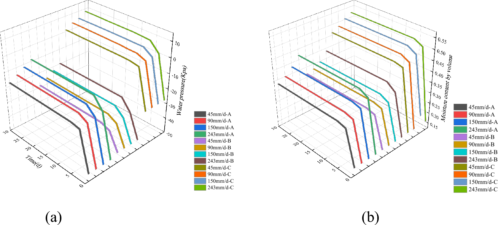
Figure 9

Variations in Pore Water Pressure and Volumetric Water Content at Different Monitoring Points. (a) Changes in Water Pressure; (b) Changes in Volumetric Water Content.

Variations in Pore Water Pressure and Volumetric Water Content at Different Monitoring Points. (a) Changes in Water Pressure; (b) Changes in Volumetric Water Content.