Figure 3
From: Current dialyzer classification in Japan and mortality risk in patients undergoing hemodialysis

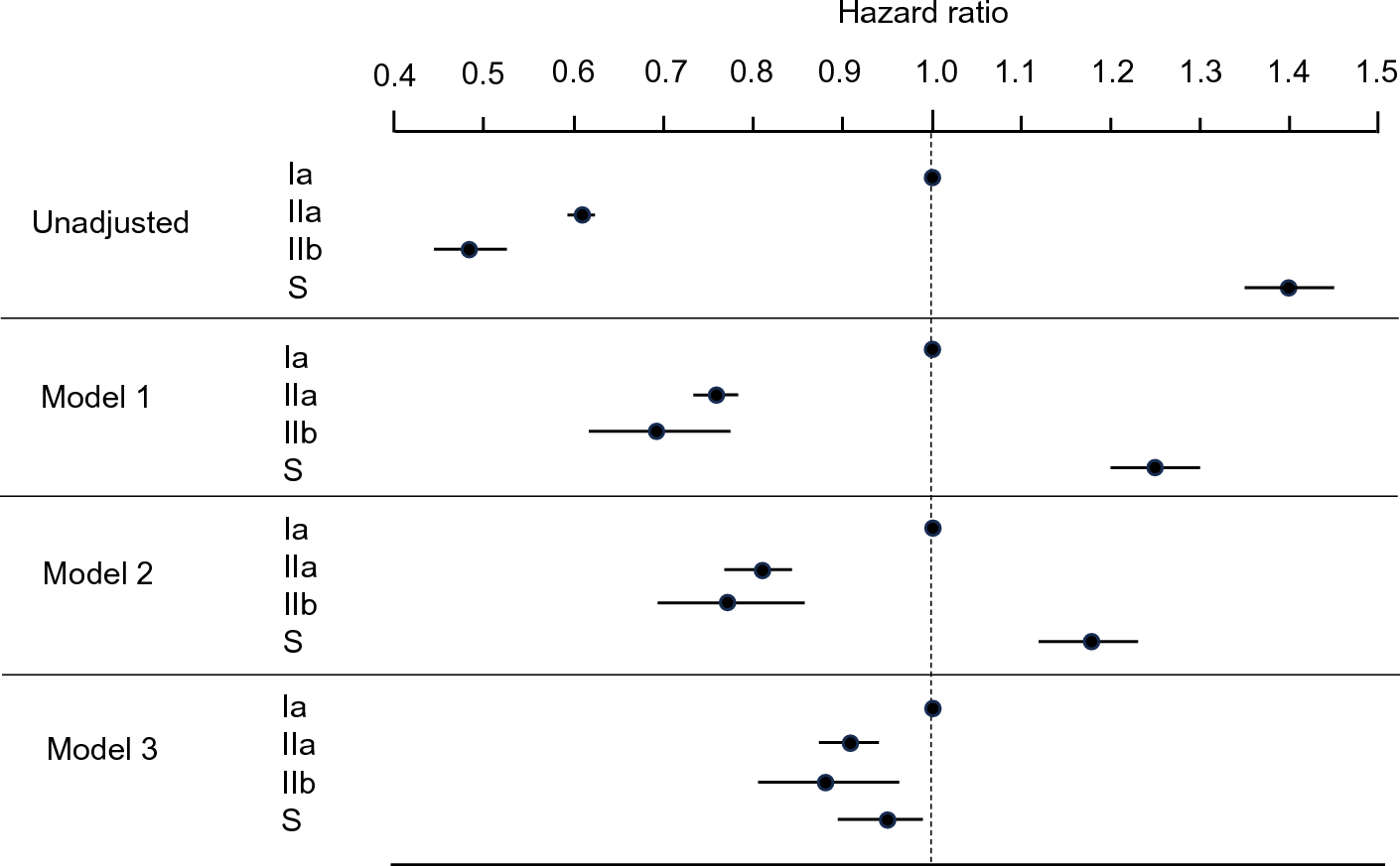
Hazard ratios (HRs) for all-cause mortality in a cohort of 181,804 patients undergoing hemodialysis categorized by dialyzer groups using Cox proportional hazards regression analysis. Circles represent the HR for mortality, and the error bars represent the 95% confidence interval (CI). Model 1 is adjusted for basic factors including age, gender, dialysis vintage, the presence or absence of diabetes mellitus, and the presence or absence of cardiovascular complications. Model 2 is adjusted for dialysis-related factors including Kt/V values, β2-microglobulin levels, and systolic and diastolic blood pressure levels, in addition to basic factors. Model 3 is adjusted for basic, dialysis-related, and nutrition- and inflammation-related factors, including body mass index, C-reactive protein, hemoglobin, calcium, phosphate, intact parathyroid hormone, and serum albumin levels.