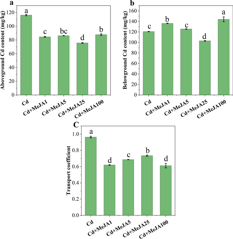
Figure 6

Effect of different concentrations of MeJA on the Cd content and transfer capacity of spinach. Note: (A) Aboveground Cd content, (B) belowground Cd content and (C) transport coefficient.

Effect of different concentrations of MeJA on the Cd content and transfer capacity of spinach. Note: (A) Aboveground Cd content, (B) belowground Cd content and (C) transport coefficient.