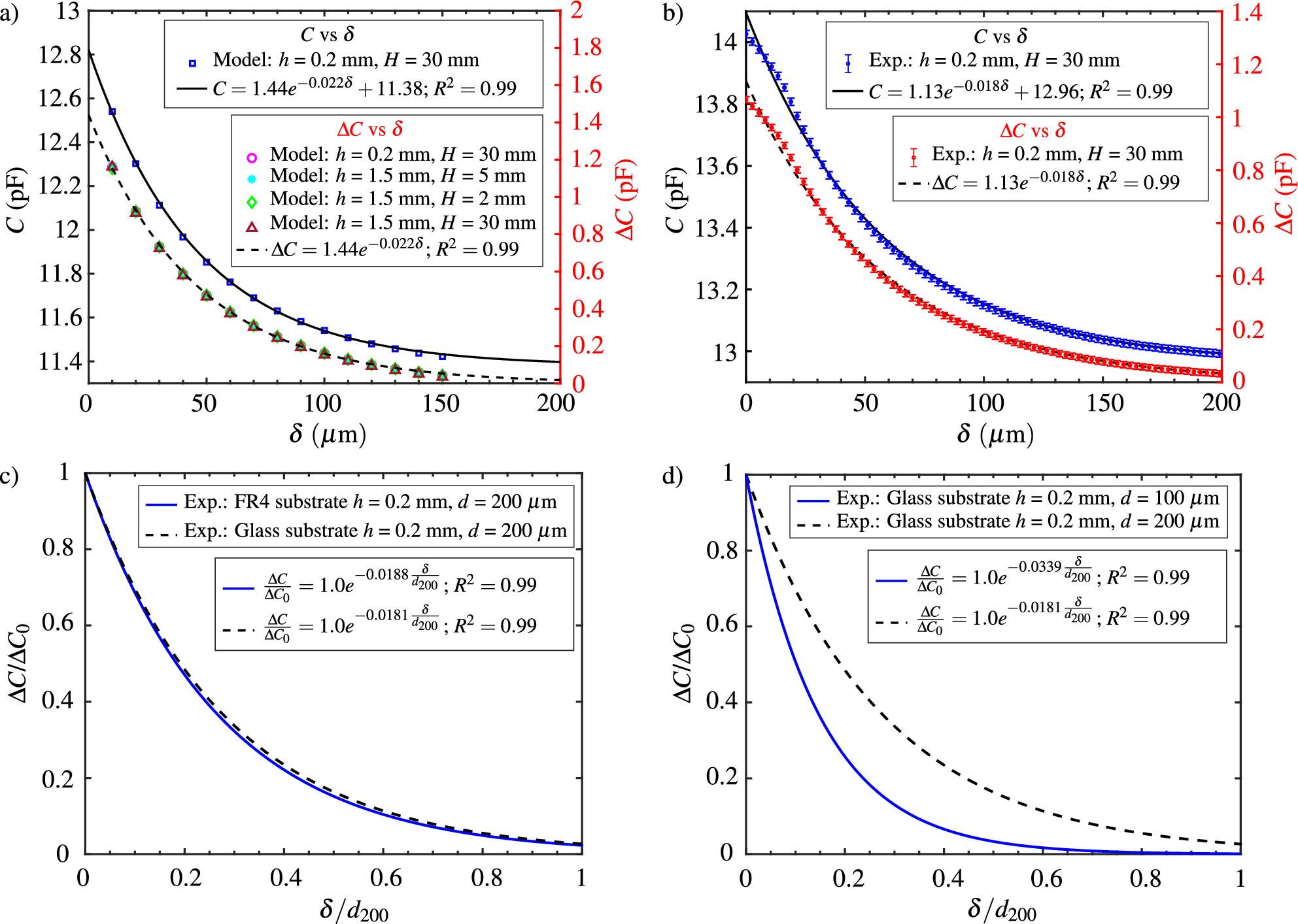
Figure 5
From: A non-invasive capacitive sensor to investigate the Leidenfrost phenomenon: a proof of concept study

(a) Capacitance (left y-axis) and change in capacitance in reference to base capacitance (right y-axis) as a function of the distance between a Teflon cylinder (dielectric) and the sensor, predicted for different values of dielectric height and sensor substrate height. Solid and dashed lines represent the fitted curves. (b) Measured values of capacitance (left y-axis) and change in capacitance in reference to base capacitance (right y-axis) as a function of the distance between a Teflon cylinder and the sensor. Solid and dashed lines represent the fitted curves. (c) Influence of the sensor substrate material on the variation of the measured values of the dimensionless change in capacitance as a function of the dimensionless distance between the sensor and the dielectric. (d) Influence of finger spacing on the variation of the measured values of the dimensionless change in capacitance as a function of the dimensionless distance between the sensor and the dielectric.