Figure 5
From: Aloe-inspired eco-friendly synthesis of Ag/ZnO heterostructures: boosting photocatalytic potential

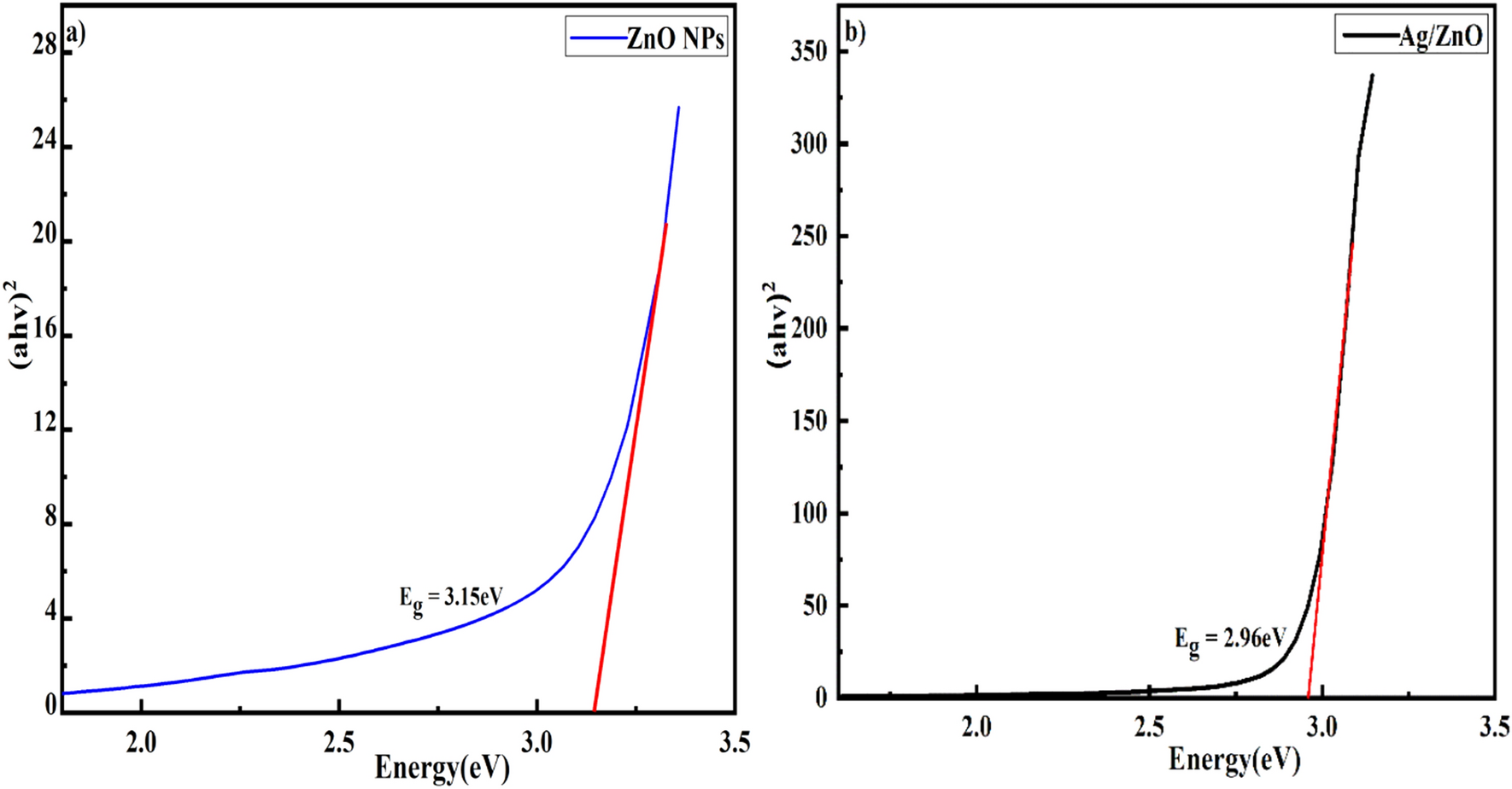
Tauc Plot of (a) ZnO and (b) Ag/ZnO heterostructures.
From: Aloe-inspired eco-friendly synthesis of Ag/ZnO heterostructures: boosting photocatalytic potential

Tauc Plot of (a) ZnO and (b) Ag/ZnO heterostructures.