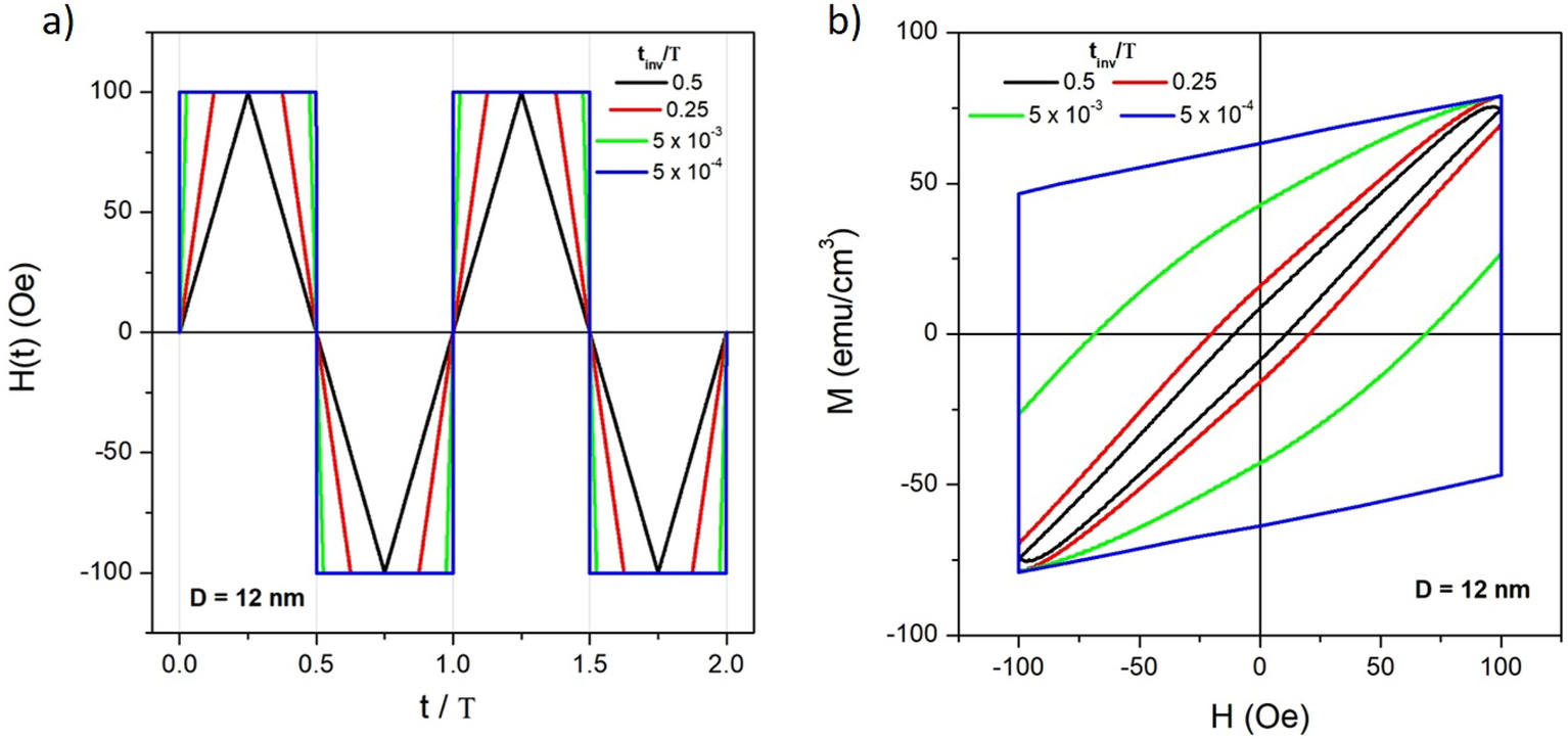
Figure 1

(a) Non-conventional magnetic field waveforms characterized by different values of the inversion time \(t_{inv}\) with respect to the field’s period T; (b) minor hysteresis loops corresponding to the four waveforms shown in (a) at \(f=100\) kHz for 12-nm magnetite nanoparticles whose easy axis makes an angle \(\phi =\pi /3\) with the field.