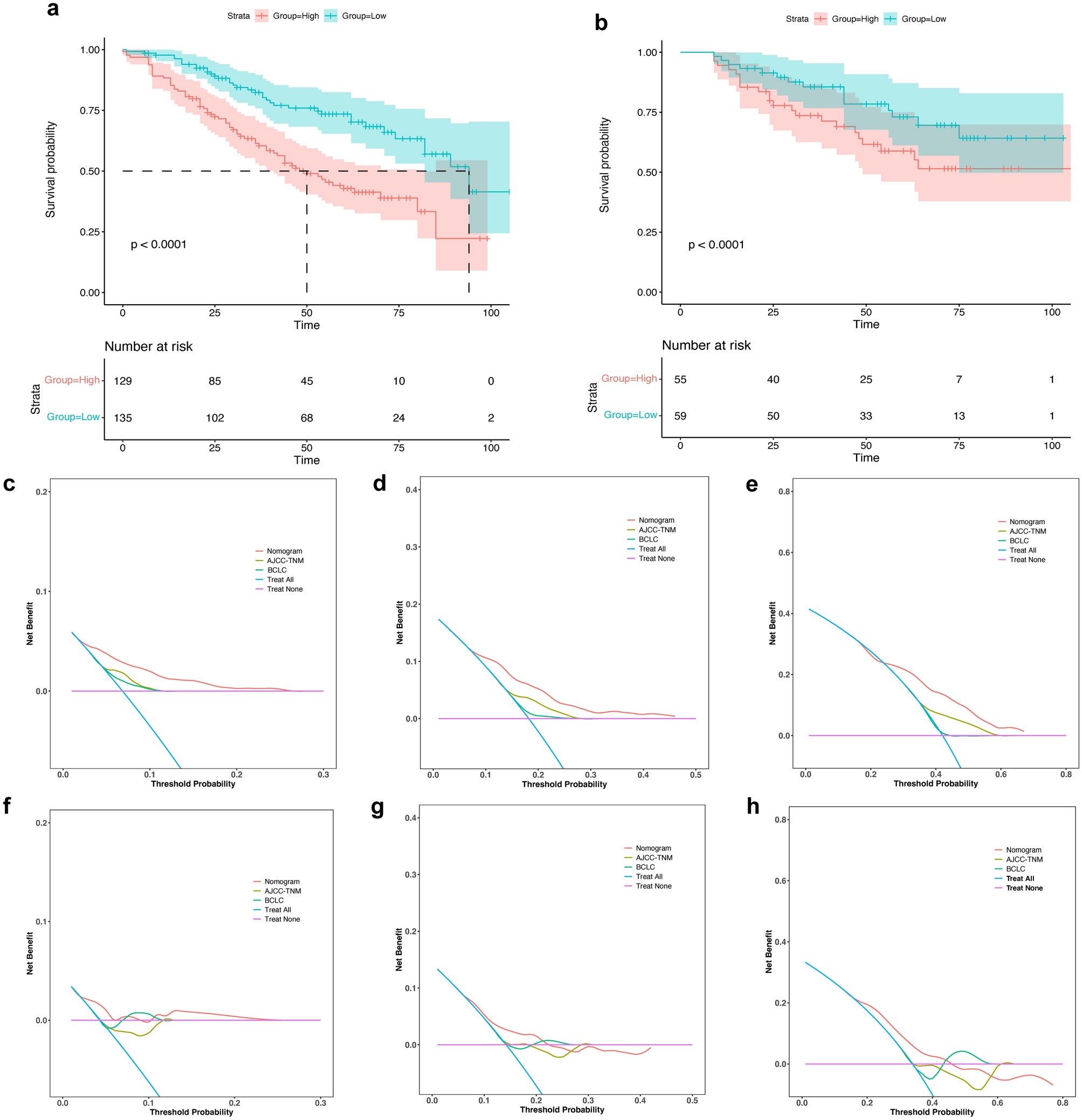
Figure 5

Rationalization analysis of DGPRI-nomogram model and assessment of its value for clinical application. The model can distinguish the magnitude of the risk of postoperative recurrence in the training set (a) and the validation set (b). Decision curve analysis shows that the clinical benefit of the model in the validation set is greater than that of the AJCC-TNM, BCLC staging system at 1 (c), 2 (d), and 5 (e) years postoperatively, and the same results are demonstrated in the validation set (f–h). DGPRI, DBIL-GPR index; AJCC-TNM American Joint Committee on Cancer tumor–node–metastasis, BCLC Barcelona Clinic Liver Cancer.