Figure 2

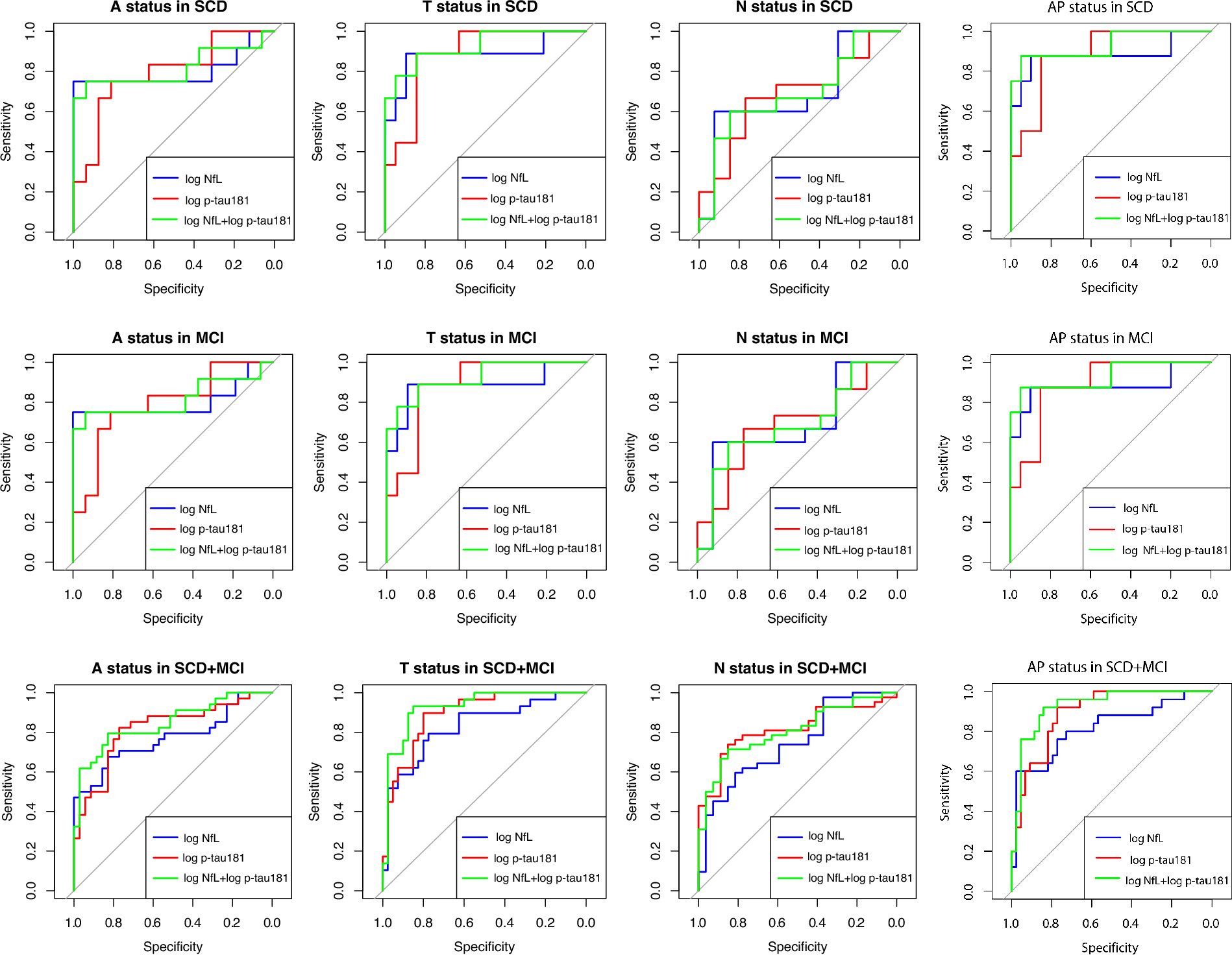
ROC curves for accuracy of plasma p-tau181, NfL and the combined model (NfL + p-tau181) in distinguishing A+ from A−, T+ from T−, N+ from N−, and AP+ from AP− patients in SCD and MCI, considering both separately and together.

ROC curves for accuracy of plasma p-tau181, NfL and the combined model (NfL + p-tau181) in distinguishing A+ from A−, T+ from T−, N+ from N−, and AP+ from AP− patients in SCD and MCI, considering both separately and together.