Figure 2
From: Screw dislocation in a Rashba spin-orbit coupled \(\alpha\)-\(T_3\) Aharonov–Bohm quantum ring

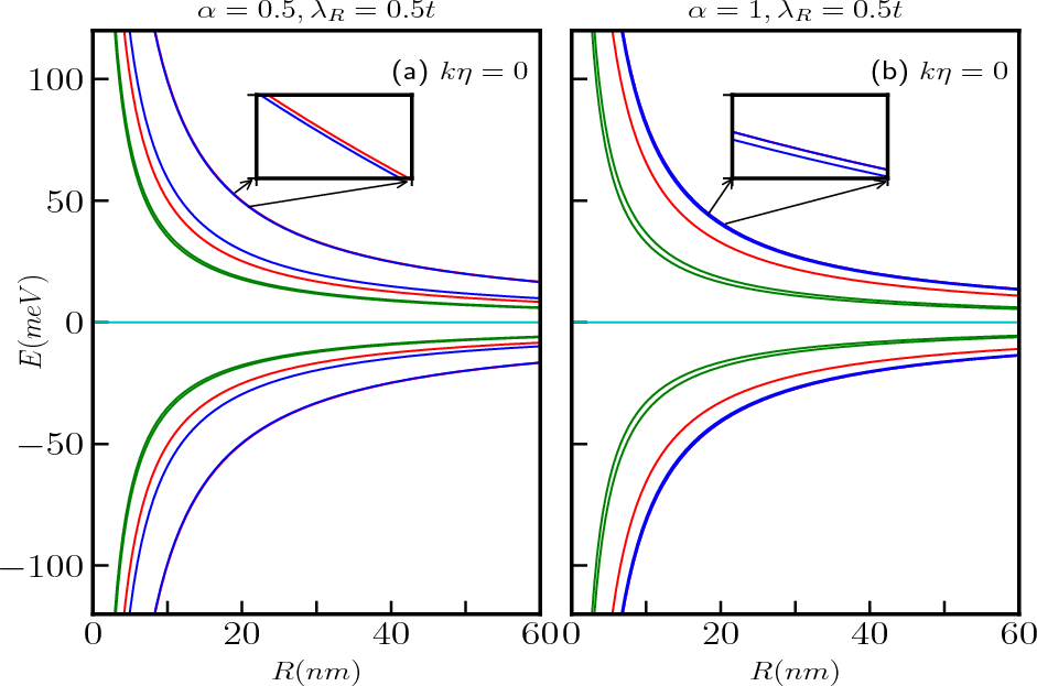
The spin-split energy spectra in the absence of a magnetic field for the \(\alpha\)-\(T_3\) AB ring are depicted as a function of the ring radius, R, for quantum numbers \(m=0\) (green curves), \(m=1\) (blue curves), and \(m=-1\) (red curves) in absence of a topological defect are presented in panels (a) for \(\alpha =0.5\) and (b) for \(\alpha =1\). The Rashba coupling parameter is all the while set at \(\lambda _R=0.5t\). In the inset, we show the zoomed version for the same.