Figure 6
From: Screw dislocation in a Rashba spin-orbit coupled \(\alpha\)-\(T_3\) Aharonov–Bohm quantum ring

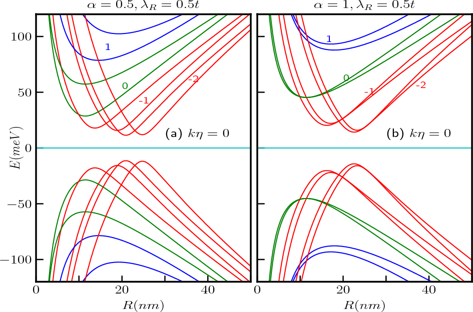
The energy spectra as a function of the ring radius R of the \(\alpha\)-\(T_3\) quantum ring under the influence of an external magnetic field with a strength of \(B_0=3\)T at the \(\textbf{K}\)-valley are presented in panels (a) for \(\alpha =0.5\) and (b) for \(\alpha =1\), without topological defect. The parameters used in these calculations are \(\lambda _R=0.5t\) and \(t=1 eV\). The quantum number m ranges from \(-2\) to 2, with positive values of m represented by blue curves, \(m=0\) depicted by green curves, and negative values by red curves.